ecomune

Primăria Orașului Azuga

Harta
  • Acasă
  • Proiecte de Investiții
  • Consiliul local
  • Buget
  • Sala de sport
  • Monitorul Oficial Local
  • Informații utile
  • Orașul
    • Domeniul schiabil
    • Activitate turistică
    • Educație
    • Informații generale
    • Istorie
    • Galerie Foto
    • Galerie video
  • Primăria
    • Primarul
    • Organigrama
    • Structura
    • Audit Intern
    • Asistență socială
    • Biblioteca
    • Politica de securitate IT a Primăriei orașului Azuga
    • Program de audiențe
    • Regulamente interne/locale
    • Taxe și impozite
    • Transparența veniturilor salariale
    • Urbanism
    • Vânzări terenuri
  • Despre Instituție
    • Legislație (organizarea și funcționarea instituției)
    • Conducere
    • Organizare
    • Programe și strategii
    • Rapoarte și studii
  • Servicii Online
    • Formulare Online
    • Sesizări Online
    • Verificare Solicitări
  • Informații de interes public
    • Solicitare informații. Legislație
    • Buletinul Informativ (Legea 544/2001)
    • Achiziții publice
    • Formulare tip (cu menționarea timpului necesar completării)
    • Declarații de avere si interese
    • Comisia paritară
    • Avizări / Autorizări
    • Informații generale
    • Buget din toate sursele de venituri
  • Anunțuri
    • Oferte vânzare terenuri extravilane
    • Diverse
    • Anunturi individuale pentru comunicare prin publicitate
    • Anunturi colective pentru comunicare prin publicitate
    • Concursuri
    • Dezbateri Publice
    • Licitații
  • Transparență decizională
    • Proiect de hotarare nr. 44/09.04.2026 privind aprobarea bugetului local de venituri si cheltuieli pentru anul 2026
    • Protecţia datelor cu caracter personal
    • Formular pentru colectarea de propuneri, opinii, recomandări (cf. Legii nr. 52/2003)
    • Dezbateri publice
    • Proiecte de acte normative pentru care nu mai pot fi trimise sugestii
    • „Guvernare transparentă, deschisă și participativă – standardizare, armonizare, dialog îmbunătățit”- cod SIPOCA 35
    • Raport periodic Legea nr. 52/2003
    • RUTI
    • Proiecte de acte normative aflate în consultare publică
    • Registrul pentru consemnare și analizarea propunerilor, opiniilor sau recomandărilor
    • Consultări interministeriale
    • Proiecte de acte normative adoptate
    • Ședințe publice / Anunțuri / Minute
    • Rapoarte de aplicare a Legii nr. 52/2003
    • Numele și prenumele persoanei desemnate responsabilă pentru relația cu societatea civilă
    • Registrul asociațiilor, fundațiilor și federațiilor luate în evidență de instituție
  • Integritate instituţională
    • ROF Grup de lucru SNA
    • Strategia Anticoruptie
    • Cod etic
    • Lista cadourilor primite, conf. Legii nr. 251/2004
    • Mecanismul de raportare a încălcărilor legii
    • Declaraţia agendei de integritate organizaţională
    • Planul de integritate al instituţiei
    • Raport privind stadiul implementării măsurilor
    • Situaţia incidentelor de integritate
    • Cercetări
  • InfoTurism
  • Știri
    • Anunt public privind decizia etapei de incadrare 'Construire Sala de sport 180 de locuri oras Azuga'
    • Protocol de colaborare cu Municipiul Bucuresti
    • ANUNT organizare concurs sofer
    • ANUNT PRESA - demarare proiect ' Amenajare spatii verzi in orasul Azuga'
    • ANUNT COLECTIV pentru comunicare prin publicitate
    • Anunt privind Infiintarea Centrului National de Informare si Promovare Turistica Azuga - Final proiect
    • Anunt privind Infiintarea Centrului National de Informare si Promovare Turistica Azuga
    • Raport FINAL concurs bibliotecar
    • Rezultate PROBA SCRISA concurs bibliotecar
    • Rezultate selectie dosare inscriere la concurs bibliotecar
    • Anunt concurs bibliotecar
    • Plan Interviu concurs Consilier - Compartiment Venituri
    • Rezultate selectare dosare inscriere concurs consilier - Compartiment Venituri
    • Rezultate selectare dosare inscriere concurs Conducator autospeciala - SVSU
    • Anunt concurs bibliotecar
    • Anunt concurs consilier Compartiment Venituri
    • Anunt concurs conducator autospeciala SVSU
    • Rezultate interviu concurs consilier Compartiment Venituri
    • Anunt reprogramare interviu Consilier - Compartiment Venituri
    • Rezultate proba scrisa concurs Consilier - Compartiment Venituri
    • Rezultate proba scrisa concurs conducator autospeciala - SVSU
    • Rezultate finale concurs recrutare consilier debutant Compartiment Venituri
    • Rezultate selectie dosare inscriere concurs bibliotecar
    • Rezultate finale concurs conducator autospeciala
    • Rezultate interviu concurs conducator autospeciala SVSU Azuga
    • Plan interviu concurs conducator autospeciala SVSU Azuga
    • Rezultate finale proba scrisa concurs bibliotecar
    • Plan interviu concurs bibliotecar
    • Rezultate PROBA SCRISA concurs Bibliotecar
    • Rezultate finale concurs Bibliotecar
    • Rezultate interviu concurs bibliotecar
    • Anunt organizare concurs recrutare Administrator Public
    • Plan interviu concurs administrator public
    • Rezultate proba scrisa concurs administrator public
    • Rezultate selectie dosare inscriere concurs administrator public
    • Rezultate finale concurs administrator public
    • Rezultate interviu concurs administrator public
    • Anunt SVSU
    • ANUNT Distribuire ajutoare alimentare
    • ANUNT organizare actiune colectare deseuri - LET'S DO IT ROMANIA
    • Anunt concurs promovare grad functionar public Compartiment Politie Locala
    • Anunt licitatie publica
    • Anunt concurs recrutare functie publica de executie consilier principal Compartiment Financiar-Contabil
    • Rezultate selectare dosare inscriere concurs promovare grad Compartiment Politie Locala Azuga
    • Rezultate PROBA SCRISA concurs promovare grad Compartiment Politie Locala
    • Invitatie publica
    • Rezultate interviu concurs promovare grad Compartiment Politie Locala
    • Plan interviu concurs promovare grad Compartiment Politie Locala
    • Anunt concurs lacatus mecanic - Formatie Gospodarie Oraseneasca
    • Proces verbal SUSA
    • Rezultate selectare dosare inscriere concurs recrutare consilier Compartiment Contabilitate
    • Dispozitia nr. 481/25.11.2016 privind stabilirea zilei de 2 decembrie ca zi libera
    • Rezultate PROBA SCRISA concurs lacatus mecanic
    • Rezultate selectie dosare concurs lacatus mecanic
    • Anunt Hidro Prahova
    • Rezultate interviu lacatus mecanic
    • Anunt public depunere solicitare emitere acord mediu
    • Raport specialitate aprobare buget 2017
    • Anunt organizare licitatie pentru vanzarea de masa lemnoasa pe picior
    • Rezultate finale concurs lacatus mecanic
    • Anunt solicitare aviz gospodarire a apelor
    • Anunt privind noul operator deseuri S.C. COMPREST S.A.
    • Anunt oprire furnizare apa
    • Raport de activitate Societatea Servicii Urbane Statiunea Azuga S.R.L.
    • Anunt oprire apa 06.04.2017
    • Campania de primavara de salubrizare a orasului Azuga
    • Anunt organizare concurs ocupare functie publica de executie consilier - Compartiment Venituri
    • Anunt organizare concurs ocupare functie contractuala de executie de ASISTENT MEDICAL, in cadrul Compartimentului Asistenta Medicala desfasurata in Unitatile de Invatamant al Primariei orasului Azuga
    • Anunt organizare concurs recrutare LACATUS MECANIC, treapta I, in cadrul Formatiei Gospodarie Oraseneasca a aparatului de specialitate al Primarului orasului Azuga
    • Anunt concurs Inspector de specialitate Compartiment Venituri
    • Proces-verbal incheiat astazi, 05.05.2017, ora 14,00 cu ocazia desfasurarii sedintei de preselectie a Comisiei de licitatie publica cu preselectie pentru vanzare de masa lemnoasa pe picior
    • Masuri minimale de prevenire a incendiilor pentru activitatile in aer liber
    • Anunt organizare concurs ocupare functia publica de consilier - Compartiment Financiar-Contabil
    • Anunt concurs Inspector de specialitate Compartiment Urbanism si Disciplina in Constructii
    • Anunt oprire apa potabila
    • Rezultate selectare dosare inscriere concurs Asistent medical
    • Rezultate selectare dosare inscriere concurs Lacatus mecanic
    • Anunt organizare concurs promovare grad SPCLEP AZUGA
    • Rezultate proba scrisa concurs Lacatus Mecanic
    • Rezultate INTERVIU LACATUS MECANIC
    • Proces-verbal incheiat astazi, 19.05.2017, ora 14,00 cu ocazia desfasurarii sedintei de preselectie a Comisiei de licitatie publica cu preselectie pentru vanzare de masa lemnoasa pe picior
    • Rezultate selectare dosare consilier principal Compartiment Financiar-Contabil
    • Rezultate finale concurs Lacatus Mecanic
    • Rezultate selectare dosare concurs Consilier Compartiment Venituri
    • Rezultate selectie dosare inscriere concurs Inspector de specialitate Compartiment Venituri
    • Rezultate selectare dosare inscriere concurs Inspector de specialitate- Serviciul Dezvoltare Urbana
    • Anunt interviu concurs consilier Serviciul Economic
    • Rezultate proba scrisa concurs consilier Serviciul Economic
    • Rezultate Proba Scrisa concurs consilier Serviciul Economic
    • Plan interviu concurs consilier Serviciul Economic
    • Rezultate Interviu concurs consilier Serviciul Economic
    • Rezultate Interviu concurs consilier Serviciul Economic
    • Plan interviu concurs consilier Serviciul Economic
    • Anunt reprogramare interviu concurs consilier Serviciul Economic
    • Rezultate Finale concurs consilier Serviciul Economic- Contabilitate
    • Rezultate Finale concurs consilier Serviciul Economic- Venituri
    • Rezultate proba scrisa concurs consilier Serviciul Economic
    • Plan interviu concurs inspector Compartiment Urbanism si Disciplina in Constructii
    • Rezultat proba scrisa concurs inspector Compartiment Venituri
    • Rezultat proba scrisa concurs inspector Compartiment Urbanism
    • Rezultate interviu concurs inspector Compartiment Urbanism si Disciplina in Constructii
    • Rezultate finale concurs Inspector specialitate - Compartiment Venituri
    • Rezultate Interviu concurs inspector Compartiment Venituri
    • Plan interviu concurs inspector Compartiment Venituri
    • REZULTATE SELECTIE DOSARE PROMOVARE GRAD
    • Rezultate finale concurs Inspector specialitate - Compartiment Urbanism si Disciplina in Constructii
    • PLAN INTERVIU CONCURS PROMOVARE GRAD PROFESIONAL SPCLEP
    • REZULTATE PROBA SCRISA CONCURS PROMOVARE GRAD SPCLEP
    • Anunt rezultat analiza apa izvoare Azuga
    • Rezultate Finale concurs promovare grad SPCLEP Azuga
    • REZULTATE INTERVIU CONSILIER PROMOVARE GRAD SPCLEP
    • Anunt consultare publica
    • Anunt consultare publica
    • Anunt consultare publica
    • Intalnire agenti economici din activitatea turistica Azuga - miercuri 27.09.2017, ora 10,00
    • ANUNT INTALNIRE
    • CONVOCARE NEGOCIERE CONTRACT COLECTIV DE MUNCA
    • Avertizare cod portocaliu de vreme rea
    • Anunt concurs
    • Anunt examen de promovare in treapta I lacatus mecanic Formatie Gospodarie Oraseneasca
    • Anunt organizare concurs LACATUS MECANIC
    • Rezultate selectare dosare inscriere concurs promovare lacatus mecanic
    • Rezultate proba scrisa examen promovare lacatus mecanic
    • Oprire apa 18.10.2017
    • Rezultate Finale concurs promovare lacatus mecanic
    • Rezultate selectare dosare inscriere concurs recrutare consilier achizitii
    • Anunt organizare concurs consilier investitii
    • CONCURS RECRUTARE ARHITECT SEF
    • Rezultat proba scrisa concurs lacatus mecanic
    • Rezultate selectie dosare inscriere concurs lacatus mecanic
    • Proiect de hotarare privind aprobarea impozitelor si taxelor locale stabilite in suma fixa pentru anul 2018
    • Rezultate interviu concurs lacatus mecanic
    • Rezultat finale concurs lacatus mecanic
    • Anunt licitatie
    • Rezultate selectie dosare inscriere concurs consilier Serviciul Dezvoltare Urbana
    • Reziltate Proba scrisa concurs consilier Serviciul Dezvoltare Urbana
    • Anunt Individual pentru comunicare prin publicitate
    • Anunt licitatie
    • Anunt licitatie inchiriere locuri parcare str. Muncii
    • Proces-verbal incheiat azi 27.11.2017 cu ocazia probei scrise concurs consilier Serviciul Dezvoltare Urbana
    • ANUNT COLECTIV pentru comunicare prin publicitate
    • Campania de colectare deseuri de surse de lumina
    • HCL nr. 234/2017 privind aprobarea impozitelor si taxelor locale stabilite in suma fixa pentru anului 2018
    • Anunt public privind depunerea solicitarii de emitere acord de mediu
    • Anunt consultare publica Proiect de hotarare Consiliul Local al orasului Azuga privind instituirea taxei de transport in cuantum de 14 % din incasarile fara TVA ale transportatorilor pe cablu si banda care desfasoara activitate in zona partiilor de schi
    • ANUNT COLECTIV pentru comunicare prin publicitate
    • Anunt consultare publica -Proiect hotarare privind aprobare buget propriu al orasului Azuga pe anul 2018
    • Dispozitia Primarului orasului Azuga nr. 50/2018
    • ANUNT COLECTIV pentru comunicare prin publicitate
    • Anunt organizare concurs asistent medical unitatile de invatamant
    • Anunt public privind decizia etapei de incadrare Primaria Azuga
    • Anunt disponibilizare mijloace fixe
    • Anunt licitatie publica inchiriere / concesionare terenuri
    • Rezultate selectare dosare concurs asistent medical
    • Anunt colectiv pentru comunicare prin publicitate
    • Campania de primavara de salubrizare a orasului Azuga
    • REZULTATE FINALE CONCURS ASISTENTMEDICAL
    • REZULTATE INTERVIU CONCURS ASISTENT MEDICAL
    • Rezultate proba scrisa concurs asistent medical
    • ANUNT COLECTIV pentru comunicare prin publicitate
    • Anunt licitatie inchiriere chiosc si vanzare terenuri
    • Anunt licitati publice 11.06.2018 ora 10,00
    • Anunt individual comunicare prin publicitate S.C. FERNDALE IMOBILIAR S.R.L.
    • Anunt examen promovare grad profesional
    • ANUNT COLECTIV pentru comunicare prin publicitate
    • ANUNT COLECTIV pentru comunicare prin publicitate
    • ANUNT COLECTIV pentru comunicare prin publicitate
    • Anunt organizare concurs LACATUS MECANIC
    • Anunt Individual pentru comunicare prin publicitate
    • ANUNT COLECTIV pentru comunicare prin publicitate
    • ANUNT COLECTIV pentru comunicare prin publicitate
    • Anunt public privind decizia de incadrare - proiect ,, Construire Locuinte sociale si amenajare spatiu ambiental,,
    • Anunt public privind depunerea solicitarii de emitere acord de mediu proiect CONSTRUIRE LOCUINTE SOCIALE SI AMENAJARE SPATIU AMBIENTAL , oras Azuga
    • Anunt organizare examen promovare grad profesional superior Compartiment Venituri
    • ANUNT COLECTIV pentru comunicare prin publicitate
    • Anunt individual comunicare prin publicitate S.C. IZ PROD COM S.R.L.
    • ANUNT COLECTIV pentru comunicare prin publicitate
    • Anunt licitatie publica
    • ANUNT COLECTIV pentru comunicare prin publicitate
    • ANUNT COLECTIV pentru comunicare prin publicitate
    • Anunt concurs recrutare Lacatus mecanic, treapta I
    • ANUNT COLECTIV pentru comunicare prin publicitate
    • Anunt public privind depunerea solicitarii de emitere a acordului de mediu Orasul Azuga, prin Primaria Orasului Azuga
    • Anunt public privind decizia etapei de incadrare Orasul Azuga, prin Primaria orasului Azuga
    • REZULTATE FINALE CONCURS PROMOVARE GRAD PROFESIONAL - COMP. VENITURI
    • RAPORT FINAL CONCURS PROMOVARE GRAD PROFESIONAL
    • Anunt public privind depunerea solicitarii de emitere acord de mediu Orasul Azuga, prin Primaria orasului Azuga
    • Anunt Individual pentru comunicare prin publicitate
    • Anunt actiune curatenie intr- o singura zi - LET'S DO IT!
    • REZULTATE FINALE CONCURS LACATUS MECANIC
    • RAPORT FINAL CONCURS LACATUS MECANIC
    • ANUNT CONCURS INGRIJITOR
    • Anunt concurs consilier debutant Serviciul Public de Asistenta Sociala si Autoritate Tutelara al Primariei or. Azuga
    • ANUNT CONCURS CONSILIER CENTRUL NATIONAL DE INFORMARE SI PROMOVARE TURISTICA AZUGA
    • Anunt public privind decizia etapei de incadrare Orasul Azuga, prin Primaria orasului Azuga
    • ANUNT LICITATIE PUBLICA 15.10.2018
    • ANUNT INDIVIDUAL COMUNICARE PRIN PUBLICITATE S.C. MIRIAM TRADING S.R.L.
    • REZULTATE PROBA SCRISA SI PRACTICA CONCURS INGRIJITOR
    • REZULTATE INTERVIU CONCURS INGRIJITOR
    • RAPORT FINAL CONCURS INGRIJITOR
    • HCL privind rectificarea bugetului local de venituri si cheltuieli pentru anul 2018
    • Proces - verbal verificare dosare concurs consilier debutant Asistenta sociala
    • Rezultate selectie dosare concurs consilier debutant Asistenta sociala
    • Anunt licitatie publica vanzare / inchiriere teren - 07.11.2018
    • Rezultate proba scrisa concurs consilier Asistenta Sociala
    • Rezultate selectare dosare inscriere examen consilier CNIPT
    • Rezultate proba scrisa concurs consilier CNIPT
    • Rezultate interviu concurs consilier CNIPT
    • Raport final concurs consilier CNIPT
    • ANUNT organizare concurs sofer
    • ANUNT privind aprobarea impozitelor si taxelor locale pentru anul 2019
    • Ziua Informarii Preventive
    • ANUNT COLECTIV pentru comunicare prin publicitate
    • ANUNT COLECTIV pentru comunicare prin publicitate
    • ANUNT COLECTIV pentru comunicare prin publicitate
    • ANUNT COLECTIV pentru comunicare prin publicitate
    • ANUNT COLECTIV pentru comunicare prin publicitate
    • ANUNT COLECTIV pentru comunicare prin publicitate
    • ANUNT COLECTIV pentru comunicare prin publicitate
    • REZULTARE SELECTARE DOSARE CONCURS SOFER
    • Rezultate obtinute la proba scrisa concurs sofer
    • REZULTATE CONCURS SOFER
    • Anunt concurs promovare grad
    • Anunt colectiv comunicare prin publicitate
    • ANUNT COLECTIV COMUNICARE PRIN PUBLICITATE
    • ANUNT COLECTIV COMUNICARE PRIN PUBLICITATE
    • ANUNT COLECTIV COMUNICARE PRIN PUBLICITATE
    • ANUNT COLECTIV COMUNICARE PRIN PUBLICITATE
    • ANUNT COLECTIV COMUNICARE PRIN PUBLICITATE
    • P.V. verificare dosare concurs promovare grad
    • ANUNT COLECTIV COMUNICARE PRIN PUBLICITATE
    • ANUNT COLECTIV COMUNICARE PRIN PUBLICITATE
    • ANUNT COLECTIV COMUNICARE PRIN PUBLICITATE
    • RAPORT FINAL CONCURS PROMOVARE GRAD
    • ANUNT COLECTIV COMUNICARE PRIN PUBLICITATE
    • ANUNT COLECTIV COMUNICARE PRIN PUBLICITATE
    • ANUNT COLECTIV COMUNICARE PRIN PUBLICITATE
    • ANUNT INDIVIDUAL COMUNICARE PRIN PUBLICITATE
    • ANUNT COLECTIV COMUNICARE PRIN PUBLICITATE
    • Reguli si masuri de aparare impotriva incendiilor pe timpul utilizarii focului deschis la arderea de vegetatie uscata si resturi vegetale
    • ANUNT COLECTIV COMUNICARE PRIN PUBLICITATE
    • ANUNT COLECTIV COMUNICARE PRIN PUBLICITATE
    • Anunt consultare publica Proiect de hotarare al Primarului orasului Azuga privind aprobarea bugetului local de venituri si cheltuieli pentru anul 2019
    • Anunt colectiv comunicare prin publicitate
    • Anunt colectiv comunicare prin publicitate
    • ANUNT LICITATIE VANZARE TERENURI
    • ANUNT COLECTIV COMUNICARE PRIN PUBLICITATE
    • Anunt Colectiv comunicare prin publicitate
    • ANUNT COLECTIV COMUNICARE PRIN PUBLICITATE
    • Anunt colectiv comunicare prin publicitate
    • Anunt colectiv comunicare prin publicitate
    • Anunt colectiv comunicare prin publicitate
    • ANUNT COLECTIV COMUNICARE PRIN PUBLICITATE
    • ANUNT COLECTIV COMUNICARE PRIN PUBLICITATE
    • ANUNT COLECTIV COMUNICARE PRIN PUBLICITATE
    • ANUNT COLECTIV COMUNICARE PRIN PUBLICITATE
    • ANUNT LICITATIE
    • INFORMARE solicitare aviz de gospodarire a apelor pt.realizare obiectiv de investitii '' Lucrari de reabilitare si consolidare Pod, str. Amurgului, Paraul Azuga"de la AN Apele Romane - SGA Prahova
    • ANUNT CONCURS PROMOVARE GRAD PROFESIONAL COMPARTIMENT FINANCIAR-CONTABIL
    • Anunt colectiv comunicare prin publicitate
    • Anunt concurs promovare grad SPCLEP Azuga
    • ANUNT COLECTIV COMUNICARE PRIN PUBLICITATE
    • Anunt Plan Mobilitate Urbana Durabila la nivelul orasului Azuga
    • Proces-verbal verificare dosare examen promovare grad superior functionar SPCLEP AZUGA
    • Proces-verbal verificare dosare examen promovare grad superior functionar Compartiment Financiar - Contabil al Primariei or. Azuga
    • Rezultate proba scrisa concurs promovare grad SPCLEP AZUGA
    • Anunt public 1- obtinere aviz mediu
    • Anunt public 2- obtinere aviz mediu
    • Anunt public 2- obtinere aviz mediu
    • Anunt licitatie inchiriere terenuri
    • anunt
    • Informare solicitare aviz Gospodarirea Apelor pentru obiectiv " Lucrari construire sistematizare teren, drenuri, aparari de mal, locuinte sociale str. Umbroasa"
    • ANUNT licitatie vanzare terenuri
    • Anunt public depunere solicitare emitere acord mediu Oras Azuga, prin Primaria orasului Azuga
    • Anunt public privind decizia etapei de incadrare
    • ANUNT DE INTENTIE referitor la elaborarea proiectului de hotarare cu caracter normativ privind aprobarea impozitelor si taxelor locale pentru anul fiscal 2020 ale orasului Azuga
    • Anunt public privind decizia etapei de incadrare
    • ANUNT COLECTIV pentru comunicarea prin publicitate
    • Anunt anulare obligatii accesorii-penalitati aferente debitelor restante la 31.12.2018
    • Anunt colectiv comunicare prin publicitate
    • Anunt colectiv comunicare prin publicitate
    • Anunt atribuire contracte de inchiriere terenuri domeniul privat al orasului Azuga
    • Anunt Colectiv comunicare prin publicitate
    • ANUNT PUBLIC privind decizia etapei de incadrare Oras Azuga, prin Primaria or. Azuga
    • Anunt colectiv comunicare prin publicitate
    • Anunt colectiv comunicare prin publicitate
    • Anunt colectiv comunicare prin publicitate
    • Anunt colectiv comunicare prin publicitate
    • ANUNT CONCURS CONDUCATOR AUTOSPECIALA SVSU
    • Anunt colectiv comunicare prin publicitat
    • Anunt colectiv
    • Anunt colectiv comunicare prin publicitate
    • Proces- verbal verificare dosare concurs conducator autospeciala
    • ANUNT COLECTIV COMUNICARE PRIN PUBLICITATE
    • Rezultate proba scrisa concurs 06.01.2020 conducator autospeciala SVSU
    • REZULTATE INTERVIU CONDUCATOR AUTOSPECIALA SVSU
    • RAPORT FINAL CONCURS CONDUCATOR AUTOSPECIALA SVSU
    • ANUNT PARTICIPARE LICITATIE INCHIRIERE TERENURI
    • ANUNT CONCURS RECRUTARE CONSILIER CENTRUL NATIONAL DE INFORMARE SI PROMOVARE TURISTICA
    • ANUNT CONCURS CONSILIER SERVICIUL ECONOMIC- BIROU VENITURI
    • Anunt colectiv
    • Anunt colectiv comunicare prin publicitate
    • Anunt colectiv comunicare prin publicitate
    • Propunere buget 2020
    • ANUNT CONCURS SPITAL AZUGA
    • Anunt colectiv comunicare prin publicitate
    • Rezultate selectare dosare inscriere examen consilier Compartiment Venituri
    • ANUNT ATRIBUIRE CONTRACT INCHIRIERE TEREN STR. SORICA F.N. T24, P81
    • ANUNT COLECTIV
    • REZULTATE PROBA SCRISA CONSILIER COMPARTIMENT VENITURI
    • CONVOCARE CONSILIUL LOCAL ORAS AZUGA IN SEDINTA EXTRAORDINARA VINERI, 21.02.2020 ORA 12,00
    • REZULTATE SELECTIE DOSARE INSCRIERE EXAMEN CONSILIER PRINCIPAL CENTRUL NATIONAL DE INFORMARE SI PROMOVARE TURISTICA
    • ANUNT COLECTIV COMUNICARE PRIN PUBLICITATE
    • REZULTAT INTERVIU CONCURS CONSILIER COMPARTIMENT VENITURI
    • REZULTATE FINALE CONCURS CONSILIER COMPARTIMENT VENITURI
    • Convocare Consiliul Local oras Azuga in sedinta ordinara miercuri 26.02.2020 ora 14,00
    • ANUNT COLECTIV COMUNICARE PRIN PUBLICITATE
    • Anunt organizare concurs recrutare INGRIJITOR
    • ANUNT pentru aducerea la cunostinta persoanelor fizice precum si a persoanelor juridice, a obligatiilor ce le revin cu privire la REGISTRUL AGRICOL
    • REZULTATE PROBA SCRISA CONCURS RECRUTARE CONSILIER CNIPT
    • ANUNT PROGRAM CURATENIE PRIMAVARA
    • REZULTATE FINALE CONCURS CONSILIER CNIPT
    • CONVOCARE CONSILIUL LOCAL ORAS AZUGA IN SEDINTA EXTRAORDINARA DEINDATA VINERI, 06.03.2020, ORA 12,00
    • ANUNT COLECTIV
    • HCL nr. 16/26.02.2020 privind aprobarea Raportului de activitate al Comitetului Local pentru Situatii de urgenta oras Azuga pentru anul 2019
    • ANUNT COLECTIV
    • Rezultatele selectarii dosarelor de inscriere la examen recrutare INGRIJITOR in cadrul Compartimentului Deservire Generala
    • ANUNT IMPORTANT!
    • Dispozitia nr. 125/2020 convocare Consiliul Local oras Azuga in sedinta ordinara miercuri 25.03.2020 ora 13,00
    • Rezultate proba scrisa concurs ingrijitor
    • REZULTAT INTERVIU CONCURS INGRIJITOR
    • REZULTATE FINALE CONCURS INGRIJITOR
    • ANUNT COLECTIV
    • ANUNT COLECTIV
    • Convocare Consiliul Local oras Azuga in sedinta extraordinara convocata deindata joi, 02.04.2020, ora 12,00
    • ANUNT COLECTIV
    • Anunt public privind depunerea solicitarii de emitere a acordului de mediu, Oras Azuga, prin Primaria orasului Auzga
    • Anunt colectiv
    • Anunt colectiv
    • Anunt colectiv
    • Anunt
    • DISPOZITIA nr. 147/27.04.2020 Convocare Consiliul Local oras Azuga in sedinta extraordinara convocata deindata luni 27.04.2020 ora 12
    • Convocare Consiliul Local oras Azuga in sedinta ordinara, miercuri 29.04.2020 ora 13,00
    • Anunt public privind decizia etapei de incadrare UAT oras Azuga
    • Anunt licitatie vanzare terenuri
    • Convocare Consiliul Local al orasului Azuga in sedinta ordinara marti, 26.05.2020, ora 14,00
    • Anunt colectiv
    • ANUNT INDIVIDUAL
    • Anunt licitatie lemn de foc
    • ANUNT INDIVIDUAL
    • Anunt concurs promovare grad
    • CONVOCARE SEDINTA ORDINARA CONSILIUL LOCAL AZUGA
    • ANUNT CONCURS PROMOVARE GRAD
    • ANUNT LICITATIE VANZARE
    • ANUNT LICITATIE VANZARE
    • Rezultate selectie dosare examen promovare in grad
    • ANUNT licitatie inchiriere terenuri domeniu privat Oras Azuga
    • Convocare sedinta ordinara Consiliul Local Azuga in data de 31.o7.2020, ora 12,00
    • Anunt LICITATIE LEMN FOC
    • Convocare Consiliul Local in sedinta extraordinara 05.08.2020, ora 13,00
    • ANUNT BEC
    • Dispozitie privind stabilirea locurilor speciale de afisaj electoral, oras Azuga
    • HOTARARI ALE BIROULUI ELECTORAL DE CIRCUMSCRIPTIE NR. 3 AZUGA
    • Convocare Consiliul Local oras Azuga in sedinta extraordinara 09.09.2020 ora 15,30
    • Convocare Consiliul Local oras Azuga in sedinta extraordinara 11.09.2020 ora 12,30
    • Anunt colectiv pentru comunicare prin publicitate
    • CONVOCARE SEDINTA CONSILIUL LOCAL 24.09.2020
    • Completarea biroului electoral al sectiilor de votare cu reprezentantii partidelor politice, aliantelor politice, aliantelor electorale si organizatiilor cetatenilor apartinand minoritatilor nationale se va face in data de 24.09.2020 ora 10:00".
    • P.V. CONSTITUIRE COMISII BIROURI SECTII VOTARE
    • ANUNT LICITATIE LEMN FOC
    • ANUNT COLECTIV
    • HOTARAREA 74/07.11.2020 A COMITETULUI JUDETEAN PENTRU SITUATII DE URGENTA PRAHOVA
    • ANUNT DE INTENTIE privind elaborarea proiectului de hotarare cu caracter normativ privind aprobarea impozitelor si taxelor locale pentru anul fiscal 2021 ale orasului Azuga
    • Anunt oprire apa 11.11.2020
    • CONVOCAREA CONSILIULUI LOCAL IN SEDINTA EXTRAORDINARA, MARTI 17.11.2020
    • ANUNT dezbatere publica Regulament privind modul de dobandire si exploatare a parcarilor de domiciliu/resedinta aflate pe raza orasului Azuga
    • ANUNT DEPUNERE SOLICITARE EMITERE ACORD DE MEDIU ORASUL AZUGA, PRIN PRIMARIA ORASULUI AZUGA
    • Extras din " Programul de deszăpezire al Companiei Romprest Service S.A. pentru orașul Azuga 2020 - 2021"
    • Expunere motive, studiu impact, Regulament acord desfasurare activitate alimentatie publica, desfasurare activitati comerciale si servicii de piata, inchiriere sanii si activitati de agrement cu vehicule de teren, atv, snowmobile si alte mijloace de depla
    • Convocare Consiliul Local al orasului azuga in sedinta extraordinara convocata deindata miercuri 09.12.2020
    • Convocare Consiliul Local al orasului Azuga in sedinta ordinara marti 22.12.2020, ora 14,00
    • Dispozitia nr. 362/11.12.2020 privind desemnarea dnei Constantinescu Ligia pentru consilierea etica si monitorizarea respectarii normelor de conduita in cadrul Primariei orasului Azuga
    • Regulament parcari
    • Regulamente taxe speciale 2021
    • Raport informatii interes public 2020
    • Anunt organizare examen de promovare in gradul profesional superior celui detinut pentru functionarul public din cadrul Serviciului Economic- Biroul Venituri al Primariei orasului Azuga
    • Anunt licitatie vanzare terenuri 24.02.2021
    • ANUNT COLECTIV
    • ANUNT COLECTIV
    • ANUNT COLECTIV
    • Codul Etic, conform Dispoziției de Primar nr. 37 din 28 ianuarie 2021
    • Anunt colectiv
    • REZULTATELE SELECTARII DOSARELOR DE INSCRIERE la examenul de promovare in gradul profesional superior celui detinut pentru functionarul public din cadrul Serviciului Economic- Biroul Venituri al Primariei orasului Azuga
    • Anunt colectiv
    • Anunt colectiv
    • Rezultate proba scrisa examen promovare grad superior celui detinut pentru functionarul public din cadrul Serviciului Economic- Birou Venituri al Primariei or. Azuga
    • Rezultate interviu promovare grad superior celui detinut pentru functionarul public din cadrul Serviciului Economic- Birou Venituri al Primariei or. Azuga
    • Rezultate finale examen promovare grad profesional superior
    • ANUNT COLECTIV
    • Convocator ședință ordinară a Consiliului Local de vineri 26.02.2021
    • Anunt colectiv comunicare prin publicitate
    • Anunț Registrul Agricol - date de înscriere, termene - persoane fizice și juridice
    • Anunț de licitație vânzare 16.03.2021
    • Anunț de participare la licitație pentru închiriere terenuri aparținând domeniului privat al orașului Azuga 16.03.2021
    • Anunț colectiv pentru comunicare prin publicitate 18.03.2021
    • Dispoziție de Convocare deîndată a Consiliului Local, 24 Martie 2021
    • Anunț colectiv pentru comunicare prin publicitate 31.03.2021
    • Anunț colectiv pentru comunicarea prin publicitate 01.04.2021
    • Anunt colectiv pentru comunicarea prin publicitate 06.04.2021
    • Anunț de licitație vânzare 12.04.2021
    • Anunț colectiv pentru comunicare prin publicitate 13.04.2021
    • Ședință extraordinară a Consiliului Local, miercuri 21 aprilie 2021, de la ora 14:00
    • Recensământul General Agricol, 10mai-31iulie 2021
    • Ședința ordinară a Consiliului Local, joi 29 aprilie 2021, de la ora 13:00
    • Informare privitoare la înscrierea pentru echipele mobile de vaccinare! (termen 4 mai, ora 13:00)
    • Consultare Publică pentru PUG și RLU – Oraș Azuga - Etapa 1 (pregătitoare) – Anunțarea intenției de elaborare – Solicitare completare chestionare de anchetă socială - perioada 14.05.2021 - 13.06.2021
    • Ședința Extraordinară a Consiliului Local al orașului Azuga este convocată pentru luni, 17 mai 2021, de la ora 13:00!
    • Ședința ordinară a Consiliului Local al orașului Azuga este convocată pentru luni, 31 mai, de la ora 14:00
    • Anunț de licitație terenuri, pentru data de 8 iulie 2021, termen limită 7 iulie 2021
    • Concurs promovare funcția publică de conducere, vacantă de șef birou, clasa I, gradul II în cadrul Biroului Venituri din Serviciul Economic al aparatului de specialitate al Primarului orașului Azuga
    • Concurs de recrutare ocupare funcție publică de execuție de consilier clasa I, grad profesional debutant în cadrul compartimentului urbanism și disciplina în construcții din Serviciul dezvoltare urbana al aparatului de specialitate al Primarului o
    • Concurs de recrutare ocupare funcție publică de execuție de consilier clasa I, grad profesional superior în cadrul compartimentului tehnic, investiții, achiziții publice, managementul proiectelor si protecția mediului din Serviciul dezvoltare urban
    • Decizia etapei inițiale pentru proiectul "Realizare pasaj rutier la intersecția DN1 cu strada Prahovei", obținută de la APM Prahova
    • Rezultate selecție dosare inscriere concurs consilier superior investiții
    • Rezultate selecție dosare inscriere concurs consilier debutant urbanism
    • Rezultat selecție dosar de înscriere Șef birou Venituri
    • Rezultatul probei scrise la concursul de promovare pentru Șef Birou Venituri
    • Anunț de modificare a datei interviului pentru concursul de promovare Șef Birou Venituri
    • Plan de interviu pentru concursul de promovare Șef Birou Venituri
    • Rezultatul interviului pentru concursul de promovare Șef Birou Venituri
    • Rezultatul final al concursului de promovare pentru Șef Birou Venituri
    • Anunt colectiv pentru comunicarea prin publicitate 23.07.2021
    • Anunt licitatie vânzare terenuri, 25.08.2021 ora 10,00
    • Anunt organizare examen promovare grad profesional superior funcționar public din cadrul Serviciului Economic - Biroul Venituri
    • Rezultatele selectării dosarelor de înscriere la examenul în vederea promovării în gradul profesional superior celui deținut pentru funcționarul public din cadrul Serviciului Economic - Biroul Venituri, organizat în data de 23 septembrie 2021
    • Anunț Facilitate Fiscală septembrie 2021_31 ianuarie 2022
    • Rezultate obținute la PROBA SCRISA la examenul de promovare în gradul profesional superior celui deținut pentru funcționarul public din cadrul Serviciului Economic- Biroul Venituri
    • Hotărârea nr. 1 a Comitetului Local pentru Situații de Urgență și Anexa 1
    • Anunt reprogramare interviu examen promovare grad profesional superior celui detinut pentru functionarul public din cadrul Serviciului Economic- Biroul Venituri
    • Plan de Interviu la examenul de promovare în gradul profesional superior celui detinut pentru functionarul public din cadrul Serviciului Economic- Biroul Venituri al aparatului de specialitate al Primarului orașului Azuga
    • Rezultate obținute la interviul la examenul de promovare în gradul profesional superior celui detinut pentru functionarul public din cadrul Serviciului Economic- Biroul Venituri al aparatului de specialitate al Primarului orașului Azuga
    • Hotărârea nr. 2 a Comitetului Local pentru Situații de Urgență și Anexa 1
    • Rezultate finale examen promovare în gradul profesional superior celui detinut pentru funcționarul public din cadrul Serviciului Economic- Biroul Venituri al aparatului de specialitate al Primarului orașului Azuga
    • Hotărârea nr. 3 a Comitetului Local pentru Situații de Urgență și Anexa 1
    • Comunicat suspendare temporară a acordării audiențelor Avocatului Poporului Prahova la sediu și in teritoriu
    • ANUNT
    • Invitatie participare servicii medicina muncii
    • Anunt procedura desemnare consilier etic
    • Anunt licitatie vânzare terenuri 08.12.2021, ora 10.00
    • Anunt organizare concurs recrutare consilier Compartiment Servicii Sociale
    • Dezbatere publică realizare proiect "Pasaj rutier la intersecția DN1 cu str. Prahovei - Oraș Azuga"
    • Anunt organizare licitatie vanzare lemne foc, data de 07.02.2022 ora 10,00
    • Primăria informează despre obligația de înregistrare în Registrul Agricol!
    • Încheiere dezbatere publică proiect "Pasaj rutier la intersecția DN1 cu str. Prahovei - Oraș Azuga"
    • Anunt colectiv
    • Anunt colectiv
    • Comunicat privind reluarea audiențelor Avocatului Poporului Prahova la sediul Biroului Teritorial Ploiești
    • Cum să te autorecenzezi - informații și descrierea procesului de autorecenzare online.
    • Campania de Curățenie 2022
    • Anunț licitație vânzare terenuri pentru data de 8 iunie 2022
    • Anunț licitație închiriere teren pentru data de 8 iunie 2022
    • Anunt organizare concurs recrutare consilier clasa I, grad profesional superior, Compartiment Venituri
    • Anunț de participare programe de interes național pentru dezvoltarea serviciilor sociale pentru persoanele vârstnice aprobate prin H.G. nr. 435/2022
    • Paza bună trece primejdia rea! Măsuri pentru vremea caniculară.
    • AzugaPentruSport_Campanie adresată Seniorilor
    • Măsuri principale de apărare împotriva incendiilor pe perioadele caniculare pentru prevenirea incendiilor de vegetație uscată/pădure
    • APEL TAXI DE NOAPTE (m) 0728 95 93 46, de la 23:00 la 6:00
    • Anunț public privind depunerea solicitării de emitere a acordului de mediu pentru proiectul "REABILITARE ȘI MODERNIZARE STRĂZI ÎN ORAȘUL AZUGA"
    • Program pregătire profesională - ”Șansa pentru tinerii din regiunile Sud-Est și Sud, Muntenia”
    • Anunt licitatie publica vanzare terenuri 06.10.2022, ora 10,00
    • I.S.U. Prahova ne informează!
    • Studiu pe proiect în cadrul Parteneriatului pentru Dezvoltare Locală - chestionar privind nivelul de utilizare a instrumentelor digitale puse la dispozția cetățenilor din jud. Prahova
    • Anunț licitație închiriere teren, pentru data de 27.10.2022, ora 10,00
    • Consultare Publică pentru PUZ–UTR 9 – Oraș Azuga - Etapa 2 – Documentare și elaborare studii de fundamentare – Propuneri preliminare - 10.10.2022 – 30.11.2022
    • Anunt public privind decizia etapei de incadrare ,, Reabilitare si modernizare strazi in orasul Azuga,,
    • Anunț public CNAIR - Realizare pasaj rutier la intersecția DN1 cu str. Prahovei - Oraș Azuga
    • Avizare de către SGA a Studiului de Fezabilitate pentru obiectivul "Modernizarea, reabilitarea şi extinderea traseului Azuga - Buşteni - Gura Vitioarei, prin Accesibilizarea golului alpin Munţii Baiului şi a drumurilor judeţene”
    • Consultare Publică pentru PUG și RLU – Oraș Azuga - Etapa 2 – Documentare/elaborare strategii sectoriale și studii de fundamentare – Propuneri preliminare – perioada 05.12.2022 – 09.01.2023
    • Măsuri de prevenire a incendiilor în sezonul rece
    • Avizare de către APM a Studiului de Fezabilitate pentru obiectivul "Modernizarea, reabilitarea şi extinderea traseului Azuga - Buşteni - Gura Vitioarei, prin Accesibilizarea golului alpin Munţii Baiului şi a drumurilor judeţene”
    • Consultarea populației – Etapa I – Intenție de elaborare “PUZ – Acces rutier complementar descarcării A3 Azuga – Bușteni”, 22.12.2022 – 06.01.2023
    • Proiect buget propriu al orasului Azuga pe anul 2023
    • Proiect PNRR C10-I1.1-89 "ACHIZIȚIE DE MIJLOACE DE TRANSPORT ÎN COMUN NEPOLUANTE ȘI STAȚII DE ÎNCĂRCARE"
    • Anunt privind Declaratia unica privind impozitul pe venit si contributiile sociale pentru perioada 2022-2023
    • Proiect PNRR C10-I1.2-243 "MODERNIZAREA INFRASTRUCTURII TIC ÎN ORAȘUL AZUGA"
    • Incepând cu data de 1 martie 2023, ora 10,00 se vor relua exercițiile de alarmare publică, denumite generic ,, MIERCUREA ALARMELOR,,
    • Etapa II - Consultarea populației privind propunerile preliminare “PUZ – Acces rutier complementar descarcării A3 Azuga – Bușteni”, 03.03.2023 – 14.03.2023
    • Avizare de către APM a planului "PUZ – Acces rutier complementar descarcarii A3 Azuga – Busteni"
    • DGASPC Prahova angajează asistenți personali profesioniști
    • Anunț privind invitația de participare la procedura competitiva organizata în vederea cesiunii creantelor bugetare
    • Anunt Decizia etapei de incadrare bloc ANL Ritivoiu 2Abis
    • Anunț privind invitația de participare la procedura competitiva organizata în vederea cesiunii creantelor bugetare
    • S.C. SINAIA SA, Hotel Sinaia****, angajează personal cu contract individual de muncă
    • Consultare Publică pentru PUZ–UTR 9 – Oraș Azuga - Etapa 3 – Propuneri ce vor fi supuse procesului de avizare - 30.06.2023 – 31.07.2023
    • Consultare Publică pentru PUG și RLU – Oraș Azuga - Etapa 3 – Propuneri ce vor fi supuse procesului de avizare – perioada 30.06.2023 – 31.07.2023
    • Regulament Rabla Local 2023
    • Consultare publică Plan anual Servicii Sociale 2023, luna august 2023
    • Anunt organizare concurs consilier superior investitii
    • Măsuri de prevenire a incendiilor în sezonul rece
    • Talon urcare-coborâre gratuită cu gondola, pe 31 octombrie!
    • Consultare Publică pentru PUZ–UTR 9 – Oraș Azuga - Etapa 1 (pregătitoare) – Anunțarea intenției de elaborare – perioada 01.10.2021 – 31.10.2021
    • Consultare Publică pentru PUZ - Acces rutier complementar descarcare A3 Azuga-Busteni - Etapa 3 -Propuneri ce vor fi supuse avizarii - perioada 06.11.2023 – 17.11.2023
    • Flota de TAXI a stațiunii Azuga - numere de telefon
    • DSP Prahova - Prevenirea Trichinelozei
    • DSP Prahova - RUJEOLA - Informare, Pliante
    • PNRR - Venitul Minim de Incluziune (VMI), din ianuarie 2024
    • Informare Publică pentru PUZ - Acces rutier complementar descarcare A3 Azuga-Bușteni - Etapa 4 - Elaborarea propunerii finale – Etapa aprobării - perioada 28.12.2023 - 13.02.2024
    • Consultare Publică pentru PUZ–UTR 9 – Oraș Azuga - Etapa 3 – Actualizare propuneri ce vor fi supuse procesului de avizare - 19.01.2024 – 19.02.2024
    • Consultare Publică pentru PUG și RLU – Oraș Azuga - Etapa 3 – Actualizari propuneri ce vor fi supuse procesului de avizare – perioada 19.01.2024 – 05.03.2024
    • Consultare Publică pentru ”ÎNTOCMIRE P.U.D. PENTRU CONSTRUIRE LOCUINȚĂ UNIFAMILIALĂ P+M” - ETAPA 1 (PREGĂTITOARE) - ANUNŢAREA INTENŢIEI DE ELABORARE PUD - Perioada de consultare publică: 14.03.2024 – 28.03.2024
    • Consultare Publică pentru PUZ - CONSTRUIRE HOTEL - Etapa 1 (pregătitoare) – Intenție de elaborare SC CHANDLER INTERNATIONAL SRL – perioada 26.03.2024 – 25.04.2024
    • BIROUL ELECTORAL de circumscripție AZUGA - INFORMĂRI, APRILIE 2024
    • Consultare Publică pentru PUZ - Etapa 2 (elaborarea propunerilor) – SC CHANDLER INTERNATIONAL SRL – perioada 26.04.2024 – 22.05.2024
    • BIROUL ELECTORAL de circumscripție AZUGA - INFORMĂRI, MAI 2024
    • Consultare Publică pentru PUZ UTR5 și parțial UTR3 - Construire și extindere intravilan UAT Azuga - Etapa 1 (pregătitoare) - Anunțarea intenției de elaborare, perioada 10.05.2024 – 07.06.2024
    • Anunț 1 – Declanșare Etapa de Încadrare în vederea emiterii deciziei pentru avizare de către Agenția pentru Protecția Mediului Prahova, pentru PUZ-UTR9
    • Informare referitoare la solicitarea Avizului de Gospodărire a Apelor emis de A.B.A. Buzău-Ialomița - SGA Prahova, pentru PUZ-UTR9
    • Anunț 2 – Declanșare Etapa de Încadrare în vederea emiterii deciziei pentru avizare de către Agenția pentru Protecția Mediului Prahova, pentru PUZ-UTR9
    • BIROUL ELECTORAL de circumscripție AZUGA - INFORMĂRI, IUNIE 2024
    • Anunț public privind Decizia Etapei de Încadrare în vederea emiterii avizului Agenției pentru Protecția Mediului Prahova pentru PUZ – UTR9 – Oraș Azuga
    • Informare Publică pentru PUZ - Etapa 3 (elaborarea propunerii finale - etapa aprobării) – SC CHANDLER INTERNATIONAL SRL – perioada 03.07.2024 – 13.08.2024
    • Consultare Publică pentru PUZ-UTR5 - Etapa 1 (pregătitoare) – Anunțarea intenției de elaborare SC BETACONS COMPANY SRL – perioada 05.07.2024 – 29.07.2024
    • Proiect de Hotărâre - Inițiativă Cetățenească pentru anularea HCL 36/2022
    • ISU ne informează - Măsuri de prevenire în caz de caniculă
    • Anunț 1 – Declanșare Etapa de Încadrare în vederea emiterii deciziei pentru avizare de către APM Prahova pentru ”Actualizare PUG și RLU – Oraș Azuga”
    • Anunț 2 – Declanșare Etapa de Încadrare în vederea emiterii deciziei pentru avizare de către APM Prahova pentru ”Actualizare PUG și RLU – Oraș Azuga”
    • Informare în privința solicitării avizului Sistemului de Gospodărire a Apelor Prahova pentru ”Actualizare PUG și RLU – Oraș Azuga”
    • Consultare Publică pentru PUZ-UTR5 - Etapa 2 (elaborarea propunerilor) – SC BETACONS COMPANY SRL – perioada: 11.09.2024 – 07.10.2024
    • Consultare Publică pentru PUZ – Etapa 1 (pregătitoare) – Anunțarea intenției de elaborare – Coman Mădălina-Elena - perioada: 11.09.2024 – 05.10.2024
    • Consultare Publică pentru PUZ – Etapa 1 (pregătitoare) – Anunțarea intenției de elaborare – SC AZUGA TURISM SA - perioada: 12.09.2024 – 06.10.2024
    • Alegeri 2024 - Președintele României
    • Campania Națională de Protecția Mediului “InfoCons – Fii Un Exemplu”
    • Anunt
    • Anunt public privind dezbaterea publica - Casa Regala
    • Asociația GAL Dealurile Sultanului - Întâlnire 11.03.2025 ora 10,00, sediul Primăriei Orașului Azuga
    • CAMPANIE DE PRIMĂVARĂ DE SALUBRIZARE A ORAŞULUI - ”ÎMPREUNĂ MENȚINEM AZUGA CURATĂ!”
    • DEER SA, Muntenia Nord, Regionala Ploiesti - Anunț public privind decizia etapei de încadrare de catre ANMAP
    • TICHETE DE ENERGIE 2025-2026
    • Anunt organizare concurs asistent medical scoala
    • Hotărârea nr. 88/26.09.2025 privind aprobarea declanșării procedurii de expropriere a terenului în suprafață de 406 mp situat în str. Independenței, nr. 59, aflat in proprietatea S.C. Sinter Ref S.A. - pentru realizare Acces rutier Centru Cultur
    • Anunt disponibilitate colaborare cu medic primar voluntar in cadrul Compartimentului Asistenta medicala Scoala Primara
    • Anunt depunere solicitare obtinere revizuire autorizatie de mdiu - S.C. Comprest S.A.
    • Decizie de expropriere nr. 1/14.11.2025
    • Dispoziție Nr. 249 din 17.11.2025 comisie ACCES RUTIER CENTRU CULTURAL, Oraș Azuga
    • Anunț de participare la licitația pentru închirierea unui spațiu comercial aparținând domeniului privat al orașului Azuga.
    • HCL nr. 133/2025 privind aprobarea impozitelor, taxelor locale si taxelor speciale, pentru anul 2026
    • Hotararea nr. 1 din 20.01.2026 privind Stabilirea cuantumului despagubirii in cadrul procedurii de expropriere in conformitate cu prevederile legale
    • Avocatul Poporului - Bilantul activitatii pe anul 2025
    • Anunt vanzare bunuri imobile 2026
  • Ghid pentru accesul publicului la informații de mediu
    • Ghidul autorităților publice pentru accesul publicului la informația de mediu
Harta

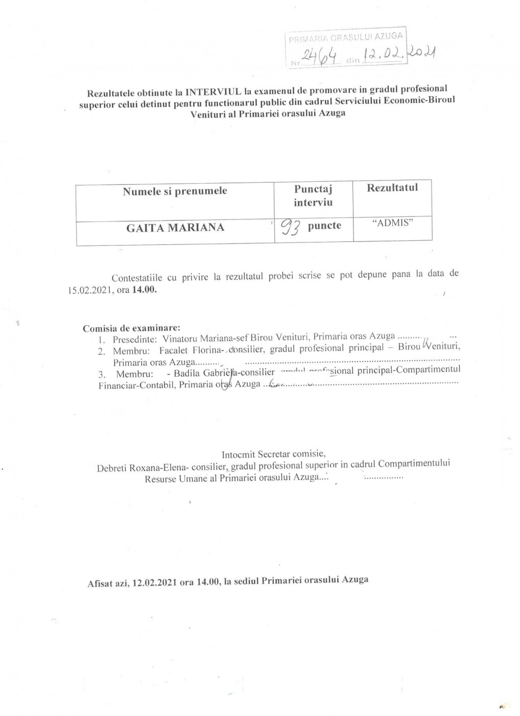
Rezultate interviu promovare grad superior celui detinut pentru functionarul public din cadrul Serviciului Economic- Birou Venituri al Primariei or. Azuga

  • Rezultate interviu promovare grad superior celui detinut pentru functionarul public din cadrul Serviciului Economic- Birou Venituri al Primariei or. Azuga

 


  • Orașul
    • Domeniul schiabil
    • Activitate turistică
    • Educație
    • Informații generale
    • Istorie
    • Galerie Foto
    • Galerie video
  • Primăria
    • Primarul
    • Organigrama
    • Structura
    • Audit Intern
    • Asistență socială
    • Biblioteca
    • Politica de securitate IT a Primăriei orașului Azuga
    • Program de audiențe
    • Regulamente interne/locale
    • Taxe și impozite
    • Transparența veniturilor salariale
    • Urbanism
    • Vânzări terenuri
  • Despre Instituție
    • Legislație (organizarea și funcționarea instituției)
    • Conducere
    • Organizare
    • Programe și strategii
    • Rapoarte și studii
  • Servicii Online
    • Formulare Online
    • Sesizări Online
    • Verificare Solicitări
  • Informații de interes public
    • Solicitare informații. Legislație
    • Buletinul Informativ (Legea 544/2001)
    • Achiziții publice
    • Formulare tip (cu menționarea timpului necesar completării)
    • Declarații de avere si interese
    • Comisia paritară
    • Avizări / Autorizări
    • Informații generale
    • Buget din toate sursele de venituri
  • Anunțuri
    • Oferte vânzare terenuri extravilane
    • Diverse
    • Anunturi individuale pentru comunicare prin publicitate
    • Anunturi colective pentru comunicare prin publicitate
    • Concursuri
    • Dezbateri Publice
    • Licitații
  • Transparență decizională
    • Proiect de hotarare nr. 44/09.04.2026 privind aprobarea bugetului local de venituri si cheltuieli pentru anul 2026
    • Protecţia datelor cu caracter personal
    • Formular pentru colectarea de propuneri, opinii, recomandări (cf. Legii nr. 52/2003)
    • Dezbateri publice
    • Proiecte de acte normative pentru care nu mai pot fi trimise sugestii
    • „Guvernare transparentă, deschisă și participativă – standardizare, armonizare, dialog îmbunătățit”- cod SIPOCA 35
    • Raport periodic Legea nr. 52/2003
    • RUTI
    • Proiecte de acte normative aflate în consultare publică
    • Registrul pentru consemnare și analizarea propunerilor, opiniilor sau recomandărilor
    • Consultări interministeriale
    • Proiecte de acte normative adoptate
    • Ședințe publice / Anunțuri / Minute
    • Rapoarte de aplicare a Legii nr. 52/2003
    • Numele și prenumele persoanei desemnate responsabilă pentru relația cu societatea civilă
    • Registrul asociațiilor, fundațiilor și federațiilor luate în evidență de instituție
  • Integritate instituţională
    • ROF Grup de lucru SNA
    • Strategia Anticoruptie
    • Cod etic
    • Lista cadourilor primite, conf. Legii nr. 251/2004
    • Mecanismul de raportare a încălcărilor legii
    • Declaraţia agendei de integritate organizaţională
    • Planul de integritate al instituţiei
    • Raport privind stadiul implementării măsurilor
    • Situaţia incidentelor de integritate
    • Cercetări
  • InfoTurism
  • Știri
    • Anunt public privind decizia etapei de incadrare 'Construire Sala de sport 180 de locuri oras Azuga'
    • Protocol de colaborare cu Municipiul Bucuresti
    • ANUNT organizare concurs sofer
    • ANUNT PRESA - demarare proiect ' Amenajare spatii verzi in orasul Azuga'
    • ANUNT COLECTIV pentru comunicare prin publicitate
    • Anunt privind Infiintarea Centrului National de Informare si Promovare Turistica Azuga - Final proiect
    • Anunt privind Infiintarea Centrului National de Informare si Promovare Turistica Azuga
    • Raport FINAL concurs bibliotecar
    • Rezultate PROBA SCRISA concurs bibliotecar
    • Rezultate selectie dosare inscriere la concurs bibliotecar
    • Anunt concurs bibliotecar
    • Plan Interviu concurs Consilier - Compartiment Venituri
    • Rezultate selectare dosare inscriere concurs consilier - Compartiment Venituri
    • Rezultate selectare dosare inscriere concurs Conducator autospeciala - SVSU
    • Anunt concurs bibliotecar
    • Anunt concurs consilier Compartiment Venituri
    • Anunt concurs conducator autospeciala SVSU
    • Rezultate interviu concurs consilier Compartiment Venituri
    • Anunt reprogramare interviu Consilier - Compartiment Venituri
    • Rezultate proba scrisa concurs Consilier - Compartiment Venituri
    • Rezultate proba scrisa concurs conducator autospeciala - SVSU
    • Rezultate finale concurs recrutare consilier debutant Compartiment Venituri
    • Rezultate selectie dosare inscriere concurs bibliotecar
    • Rezultate finale concurs conducator autospeciala
    • Rezultate interviu concurs conducator autospeciala SVSU Azuga
    • Plan interviu concurs conducator autospeciala SVSU Azuga
    • Rezultate finale proba scrisa concurs bibliotecar
    • Plan interviu concurs bibliotecar
    • Rezultate PROBA SCRISA concurs Bibliotecar
    • Rezultate finale concurs Bibliotecar
    • Rezultate interviu concurs bibliotecar
    • Anunt organizare concurs recrutare Administrator Public
    • Plan interviu concurs administrator public
    • Rezultate proba scrisa concurs administrator public
    • Rezultate selectie dosare inscriere concurs administrator public
    • Rezultate finale concurs administrator public
    • Rezultate interviu concurs administrator public
    • Anunt SVSU
    • ANUNT Distribuire ajutoare alimentare
    • ANUNT organizare actiune colectare deseuri - LET'S DO IT ROMANIA
    • Anunt concurs promovare grad functionar public Compartiment Politie Locala
    • Anunt licitatie publica
    • Anunt concurs recrutare functie publica de executie consilier principal Compartiment Financiar-Contabil
    • Rezultate selectare dosare inscriere concurs promovare grad Compartiment Politie Locala Azuga
    • Rezultate PROBA SCRISA concurs promovare grad Compartiment Politie Locala
    • Invitatie publica
    • Rezultate interviu concurs promovare grad Compartiment Politie Locala
    • Plan interviu concurs promovare grad Compartiment Politie Locala
    • Anunt concurs lacatus mecanic - Formatie Gospodarie Oraseneasca
    • Proces verbal SUSA
    • Rezultate selectare dosare inscriere concurs recrutare consilier Compartiment Contabilitate
    • Dispozitia nr. 481/25.11.2016 privind stabilirea zilei de 2 decembrie ca zi libera
    • Rezultate PROBA SCRISA concurs lacatus mecanic
    • Rezultate selectie dosare concurs lacatus mecanic
    • Anunt Hidro Prahova
    • Rezultate interviu lacatus mecanic
    • Anunt public depunere solicitare emitere acord mediu
    • Raport specialitate aprobare buget 2017
    • Anunt organizare licitatie pentru vanzarea de masa lemnoasa pe picior
    • Rezultate finale concurs lacatus mecanic
    • Anunt solicitare aviz gospodarire a apelor
    • Anunt privind noul operator deseuri S.C. COMPREST S.A.
    • Anunt oprire furnizare apa
    • Raport de activitate Societatea Servicii Urbane Statiunea Azuga S.R.L.
    • Anunt oprire apa 06.04.2017
    • Campania de primavara de salubrizare a orasului Azuga
    • Anunt organizare concurs ocupare functie publica de executie consilier - Compartiment Venituri
    • Anunt organizare concurs ocupare functie contractuala de executie de ASISTENT MEDICAL, in cadrul Compartimentului Asistenta Medicala desfasurata in Unitatile de Invatamant al Primariei orasului Azuga
    • Anunt organizare concurs recrutare LACATUS MECANIC, treapta I, in cadrul Formatiei Gospodarie Oraseneasca a aparatului de specialitate al Primarului orasului Azuga
    • Anunt concurs Inspector de specialitate Compartiment Venituri
    • Proces-verbal incheiat astazi, 05.05.2017, ora 14,00 cu ocazia desfasurarii sedintei de preselectie a Comisiei de licitatie publica cu preselectie pentru vanzare de masa lemnoasa pe picior
    • Masuri minimale de prevenire a incendiilor pentru activitatile in aer liber
    • Anunt organizare concurs ocupare functia publica de consilier - Compartiment Financiar-Contabil
    • Anunt concurs Inspector de specialitate Compartiment Urbanism si Disciplina in Constructii
    • Anunt oprire apa potabila
    • Rezultate selectare dosare inscriere concurs Asistent medical
    • Rezultate selectare dosare inscriere concurs Lacatus mecanic
    • Anunt organizare concurs promovare grad SPCLEP AZUGA
    • Rezultate proba scrisa concurs Lacatus Mecanic
    • Rezultate INTERVIU LACATUS MECANIC
    • Proces-verbal incheiat astazi, 19.05.2017, ora 14,00 cu ocazia desfasurarii sedintei de preselectie a Comisiei de licitatie publica cu preselectie pentru vanzare de masa lemnoasa pe picior
    • Rezultate selectare dosare consilier principal Compartiment Financiar-Contabil
    • Rezultate finale concurs Lacatus Mecanic
    • Rezultate selectare dosare concurs Consilier Compartiment Venituri
    • Rezultate selectie dosare inscriere concurs Inspector de specialitate Compartiment Venituri
    • Rezultate selectare dosare inscriere concurs Inspector de specialitate- Serviciul Dezvoltare Urbana
    • Anunt interviu concurs consilier Serviciul Economic
    • Rezultate proba scrisa concurs consilier Serviciul Economic
    • Rezultate Proba Scrisa concurs consilier Serviciul Economic
    • Plan interviu concurs consilier Serviciul Economic
    • Rezultate Interviu concurs consilier Serviciul Economic
    • Rezultate Interviu concurs consilier Serviciul Economic
    • Plan interviu concurs consilier Serviciul Economic
    • Anunt reprogramare interviu concurs consilier Serviciul Economic
    • Rezultate Finale concurs consilier Serviciul Economic- Contabilitate
    • Rezultate Finale concurs consilier Serviciul Economic- Venituri
    • Rezultate proba scrisa concurs consilier Serviciul Economic
    • Plan interviu concurs inspector Compartiment Urbanism si Disciplina in Constructii
    • Rezultat proba scrisa concurs inspector Compartiment Venituri
    • Rezultat proba scrisa concurs inspector Compartiment Urbanism
    • Rezultate interviu concurs inspector Compartiment Urbanism si Disciplina in Constructii
    • Rezultate finale concurs Inspector specialitate - Compartiment Venituri
    • Rezultate Interviu concurs inspector Compartiment Venituri
    • Plan interviu concurs inspector Compartiment Venituri
    • REZULTATE SELECTIE DOSARE PROMOVARE GRAD
    • Rezultate finale concurs Inspector specialitate - Compartiment Urbanism si Disciplina in Constructii
    • PLAN INTERVIU CONCURS PROMOVARE GRAD PROFESIONAL SPCLEP
    • REZULTATE PROBA SCRISA CONCURS PROMOVARE GRAD SPCLEP
    • Anunt rezultat analiza apa izvoare Azuga
    • Rezultate Finale concurs promovare grad SPCLEP Azuga
    • REZULTATE INTERVIU CONSILIER PROMOVARE GRAD SPCLEP
    • Anunt consultare publica
    • Anunt consultare publica
    • Anunt consultare publica
    • Intalnire agenti economici din activitatea turistica Azuga - miercuri 27.09.2017, ora 10,00
    • ANUNT INTALNIRE
    • CONVOCARE NEGOCIERE CONTRACT COLECTIV DE MUNCA
    • Avertizare cod portocaliu de vreme rea
    • Anunt concurs
    • Anunt examen de promovare in treapta I lacatus mecanic Formatie Gospodarie Oraseneasca
    • Anunt organizare concurs LACATUS MECANIC
    • Rezultate selectare dosare inscriere concurs promovare lacatus mecanic
    • Rezultate proba scrisa examen promovare lacatus mecanic
    • Oprire apa 18.10.2017
    • Rezultate Finale concurs promovare lacatus mecanic
    • Rezultate selectare dosare inscriere concurs recrutare consilier achizitii
    • Anunt organizare concurs consilier investitii
    • CONCURS RECRUTARE ARHITECT SEF
    • Rezultat proba scrisa concurs lacatus mecanic
    • Rezultate selectie dosare inscriere concurs lacatus mecanic
    • Proiect de hotarare privind aprobarea impozitelor si taxelor locale stabilite in suma fixa pentru anul 2018
    • Rezultate interviu concurs lacatus mecanic
    • Rezultat finale concurs lacatus mecanic
    • Anunt licitatie
    • Rezultate selectie dosare inscriere concurs consilier Serviciul Dezvoltare Urbana
    • Reziltate Proba scrisa concurs consilier Serviciul Dezvoltare Urbana
    • Anunt Individual pentru comunicare prin publicitate
    • Anunt licitatie
    • Anunt licitatie inchiriere locuri parcare str. Muncii
    • Proces-verbal incheiat azi 27.11.2017 cu ocazia probei scrise concurs consilier Serviciul Dezvoltare Urbana
    • ANUNT COLECTIV pentru comunicare prin publicitate
    • Campania de colectare deseuri de surse de lumina
    • HCL nr. 234/2017 privind aprobarea impozitelor si taxelor locale stabilite in suma fixa pentru anului 2018
    • Anunt public privind depunerea solicitarii de emitere acord de mediu
    • Anunt consultare publica Proiect de hotarare Consiliul Local al orasului Azuga privind instituirea taxei de transport in cuantum de 14 % din incasarile fara TVA ale transportatorilor pe cablu si banda care desfasoara activitate in zona partiilor de schi
    • ANUNT COLECTIV pentru comunicare prin publicitate
    • Anunt consultare publica -Proiect hotarare privind aprobare buget propriu al orasului Azuga pe anul 2018
    • Dispozitia Primarului orasului Azuga nr. 50/2018
    • ANUNT COLECTIV pentru comunicare prin publicitate
    • Anunt organizare concurs asistent medical unitatile de invatamant
    • Anunt public privind decizia etapei de incadrare Primaria Azuga
    • Anunt disponibilizare mijloace fixe
    • Anunt licitatie publica inchiriere / concesionare terenuri
    • Rezultate selectare dosare concurs asistent medical
    • Anunt colectiv pentru comunicare prin publicitate
    • Campania de primavara de salubrizare a orasului Azuga
    • REZULTATE FINALE CONCURS ASISTENTMEDICAL
    • REZULTATE INTERVIU CONCURS ASISTENT MEDICAL
    • Rezultate proba scrisa concurs asistent medical
    • ANUNT COLECTIV pentru comunicare prin publicitate
    • Anunt licitatie inchiriere chiosc si vanzare terenuri
    • Anunt licitati publice 11.06.2018 ora 10,00
    • Anunt individual comunicare prin publicitate S.C. FERNDALE IMOBILIAR S.R.L.
    • Anunt examen promovare grad profesional
    • ANUNT COLECTIV pentru comunicare prin publicitate
    • ANUNT COLECTIV pentru comunicare prin publicitate
    • ANUNT COLECTIV pentru comunicare prin publicitate
    • Anunt organizare concurs LACATUS MECANIC
    • Anunt Individual pentru comunicare prin publicitate
    • ANUNT COLECTIV pentru comunicare prin publicitate
    • ANUNT COLECTIV pentru comunicare prin publicitate
    • Anunt public privind decizia de incadrare - proiect ,, Construire Locuinte sociale si amenajare spatiu ambiental,,
    • Anunt public privind depunerea solicitarii de emitere acord de mediu proiect CONSTRUIRE LOCUINTE SOCIALE SI AMENAJARE SPATIU AMBIENTAL , oras Azuga
    • Anunt organizare examen promovare grad profesional superior Compartiment Venituri
    • ANUNT COLECTIV pentru comunicare prin publicitate
    • Anunt individual comunicare prin publicitate S.C. IZ PROD COM S.R.L.
    • ANUNT COLECTIV pentru comunicare prin publicitate
    • Anunt licitatie publica
    • ANUNT COLECTIV pentru comunicare prin publicitate
    • ANUNT COLECTIV pentru comunicare prin publicitate
    • Anunt concurs recrutare Lacatus mecanic, treapta I
    • ANUNT COLECTIV pentru comunicare prin publicitate
    • Anunt public privind depunerea solicitarii de emitere a acordului de mediu Orasul Azuga, prin Primaria Orasului Azuga
    • Anunt public privind decizia etapei de incadrare Orasul Azuga, prin Primaria orasului Azuga
    • REZULTATE FINALE CONCURS PROMOVARE GRAD PROFESIONAL - COMP. VENITURI
    • RAPORT FINAL CONCURS PROMOVARE GRAD PROFESIONAL
    • Anunt public privind depunerea solicitarii de emitere acord de mediu Orasul Azuga, prin Primaria orasului Azuga
    • Anunt Individual pentru comunicare prin publicitate
    • Anunt actiune curatenie intr- o singura zi - LET'S DO IT!
    • REZULTATE FINALE CONCURS LACATUS MECANIC
    • RAPORT FINAL CONCURS LACATUS MECANIC
    • ANUNT CONCURS INGRIJITOR
    • Anunt concurs consilier debutant Serviciul Public de Asistenta Sociala si Autoritate Tutelara al Primariei or. Azuga
    • ANUNT CONCURS CONSILIER CENTRUL NATIONAL DE INFORMARE SI PROMOVARE TURISTICA AZUGA
    • Anunt public privind decizia etapei de incadrare Orasul Azuga, prin Primaria orasului Azuga
    • ANUNT LICITATIE PUBLICA 15.10.2018
    • ANUNT INDIVIDUAL COMUNICARE PRIN PUBLICITATE S.C. MIRIAM TRADING S.R.L.
    • REZULTATE PROBA SCRISA SI PRACTICA CONCURS INGRIJITOR
    • REZULTATE INTERVIU CONCURS INGRIJITOR
    • RAPORT FINAL CONCURS INGRIJITOR
    • HCL privind rectificarea bugetului local de venituri si cheltuieli pentru anul 2018
    • Proces - verbal verificare dosare concurs consilier debutant Asistenta sociala
    • Rezultate selectie dosare concurs consilier debutant Asistenta sociala
    • Anunt licitatie publica vanzare / inchiriere teren - 07.11.2018
    • Rezultate proba scrisa concurs consilier Asistenta Sociala
    • Rezultate selectare dosare inscriere examen consilier CNIPT
    • Rezultate proba scrisa concurs consilier CNIPT
    • Rezultate interviu concurs consilier CNIPT
    • Raport final concurs consilier CNIPT
    • ANUNT organizare concurs sofer
    • ANUNT privind aprobarea impozitelor si taxelor locale pentru anul 2019
    • Ziua Informarii Preventive
    • ANUNT COLECTIV pentru comunicare prin publicitate
    • ANUNT COLECTIV pentru comunicare prin publicitate
    • ANUNT COLECTIV pentru comunicare prin publicitate
    • ANUNT COLECTIV pentru comunicare prin publicitate
    • ANUNT COLECTIV pentru comunicare prin publicitate
    • ANUNT COLECTIV pentru comunicare prin publicitate
    • ANUNT COLECTIV pentru comunicare prin publicitate
    • REZULTARE SELECTARE DOSARE CONCURS SOFER
    • Rezultate obtinute la proba scrisa concurs sofer
    • REZULTATE CONCURS SOFER
    • Anunt concurs promovare grad
    • Anunt colectiv comunicare prin publicitate
    • ANUNT COLECTIV COMUNICARE PRIN PUBLICITATE
    • ANUNT COLECTIV COMUNICARE PRIN PUBLICITATE
    • ANUNT COLECTIV COMUNICARE PRIN PUBLICITATE
    • ANUNT COLECTIV COMUNICARE PRIN PUBLICITATE
    • ANUNT COLECTIV COMUNICARE PRIN PUBLICITATE
    • P.V. verificare dosare concurs promovare grad
    • ANUNT COLECTIV COMUNICARE PRIN PUBLICITATE
    • ANUNT COLECTIV COMUNICARE PRIN PUBLICITATE
    • ANUNT COLECTIV COMUNICARE PRIN PUBLICITATE
    • RAPORT FINAL CONCURS PROMOVARE GRAD
    • ANUNT COLECTIV COMUNICARE PRIN PUBLICITATE
    • ANUNT COLECTIV COMUNICARE PRIN PUBLICITATE
    • ANUNT COLECTIV COMUNICARE PRIN PUBLICITATE
    • ANUNT INDIVIDUAL COMUNICARE PRIN PUBLICITATE
    • ANUNT COLECTIV COMUNICARE PRIN PUBLICITATE
    • Reguli si masuri de aparare impotriva incendiilor pe timpul utilizarii focului deschis la arderea de vegetatie uscata si resturi vegetale
    • ANUNT COLECTIV COMUNICARE PRIN PUBLICITATE
    • ANUNT COLECTIV COMUNICARE PRIN PUBLICITATE
    • Anunt consultare publica Proiect de hotarare al Primarului orasului Azuga privind aprobarea bugetului local de venituri si cheltuieli pentru anul 2019
    • Anunt colectiv comunicare prin publicitate
    • Anunt colectiv comunicare prin publicitate
    • ANUNT LICITATIE VANZARE TERENURI
    • ANUNT COLECTIV COMUNICARE PRIN PUBLICITATE
    • Anunt Colectiv comunicare prin publicitate
    • ANUNT COLECTIV COMUNICARE PRIN PUBLICITATE
    • Anunt colectiv comunicare prin publicitate
    • Anunt colectiv comunicare prin publicitate
    • Anunt colectiv comunicare prin publicitate
    • ANUNT COLECTIV COMUNICARE PRIN PUBLICITATE
    • ANUNT COLECTIV COMUNICARE PRIN PUBLICITATE
    • ANUNT COLECTIV COMUNICARE PRIN PUBLICITATE
    • ANUNT COLECTIV COMUNICARE PRIN PUBLICITATE
    • ANUNT LICITATIE
    • INFORMARE solicitare aviz de gospodarire a apelor pt.realizare obiectiv de investitii '' Lucrari de reabilitare si consolidare Pod, str. Amurgului, Paraul Azuga"de la AN Apele Romane - SGA Prahova
    • ANUNT CONCURS PROMOVARE GRAD PROFESIONAL COMPARTIMENT FINANCIAR-CONTABIL
    • Anunt colectiv comunicare prin publicitate
    • Anunt concurs promovare grad SPCLEP Azuga
    • ANUNT COLECTIV COMUNICARE PRIN PUBLICITATE
    • Anunt Plan Mobilitate Urbana Durabila la nivelul orasului Azuga
    • Proces-verbal verificare dosare examen promovare grad superior functionar SPCLEP AZUGA
    • Proces-verbal verificare dosare examen promovare grad superior functionar Compartiment Financiar - Contabil al Primariei or. Azuga
    • Rezultate proba scrisa concurs promovare grad SPCLEP AZUGA
    • Anunt public 1- obtinere aviz mediu
    • Anunt public 2- obtinere aviz mediu
    • Anunt public 2- obtinere aviz mediu
    • Anunt licitatie inchiriere terenuri
    • anunt
    • Informare solicitare aviz Gospodarirea Apelor pentru obiectiv " Lucrari construire sistematizare teren, drenuri, aparari de mal, locuinte sociale str. Umbroasa"
    • ANUNT licitatie vanzare terenuri
    • Anunt public depunere solicitare emitere acord mediu Oras Azuga, prin Primaria orasului Azuga
    • Anunt public privind decizia etapei de incadrare
    • ANUNT DE INTENTIE referitor la elaborarea proiectului de hotarare cu caracter normativ privind aprobarea impozitelor si taxelor locale pentru anul fiscal 2020 ale orasului Azuga
    • Anunt public privind decizia etapei de incadrare
    • ANUNT COLECTIV pentru comunicarea prin publicitate
    • Anunt anulare obligatii accesorii-penalitati aferente debitelor restante la 31.12.2018
    • Anunt colectiv comunicare prin publicitate
    • Anunt colectiv comunicare prin publicitate
    • Anunt atribuire contracte de inchiriere terenuri domeniul privat al orasului Azuga
    • Anunt Colectiv comunicare prin publicitate
    • ANUNT PUBLIC privind decizia etapei de incadrare Oras Azuga, prin Primaria or. Azuga
    • Anunt colectiv comunicare prin publicitate
    • Anunt colectiv comunicare prin publicitate
    • Anunt colectiv comunicare prin publicitate
    • Anunt colectiv comunicare prin publicitate
    • ANUNT CONCURS CONDUCATOR AUTOSPECIALA SVSU
    • Anunt colectiv comunicare prin publicitat
    • Anunt colectiv
    • Anunt colectiv comunicare prin publicitate
    • Proces- verbal verificare dosare concurs conducator autospeciala
    • ANUNT COLECTIV COMUNICARE PRIN PUBLICITATE
    • Rezultate proba scrisa concurs 06.01.2020 conducator autospeciala SVSU
    • REZULTATE INTERVIU CONDUCATOR AUTOSPECIALA SVSU
    • RAPORT FINAL CONCURS CONDUCATOR AUTOSPECIALA SVSU
    • ANUNT PARTICIPARE LICITATIE INCHIRIERE TERENURI
    • ANUNT CONCURS RECRUTARE CONSILIER CENTRUL NATIONAL DE INFORMARE SI PROMOVARE TURISTICA
    • ANUNT CONCURS CONSILIER SERVICIUL ECONOMIC- BIROU VENITURI
    • Anunt colectiv
    • Anunt colectiv comunicare prin publicitate
    • Anunt colectiv comunicare prin publicitate
    • Propunere buget 2020
    • ANUNT CONCURS SPITAL AZUGA
    • Anunt colectiv comunicare prin publicitate
    • Rezultate selectare dosare inscriere examen consilier Compartiment Venituri
    • ANUNT ATRIBUIRE CONTRACT INCHIRIERE TEREN STR. SORICA F.N. T24, P81
    • ANUNT COLECTIV
    • REZULTATE PROBA SCRISA CONSILIER COMPARTIMENT VENITURI
    • CONVOCARE CONSILIUL LOCAL ORAS AZUGA IN SEDINTA EXTRAORDINARA VINERI, 21.02.2020 ORA 12,00
    • REZULTATE SELECTIE DOSARE INSCRIERE EXAMEN CONSILIER PRINCIPAL CENTRUL NATIONAL DE INFORMARE SI PROMOVARE TURISTICA
    • ANUNT COLECTIV COMUNICARE PRIN PUBLICITATE
    • REZULTAT INTERVIU CONCURS CONSILIER COMPARTIMENT VENITURI
    • REZULTATE FINALE CONCURS CONSILIER COMPARTIMENT VENITURI
    • Convocare Consiliul Local oras Azuga in sedinta ordinara miercuri 26.02.2020 ora 14,00
    • ANUNT COLECTIV COMUNICARE PRIN PUBLICITATE
    • Anunt organizare concurs recrutare INGRIJITOR
    • ANUNT pentru aducerea la cunostinta persoanelor fizice precum si a persoanelor juridice, a obligatiilor ce le revin cu privire la REGISTRUL AGRICOL
    • REZULTATE PROBA SCRISA CONCURS RECRUTARE CONSILIER CNIPT
    • ANUNT PROGRAM CURATENIE PRIMAVARA
    • REZULTATE FINALE CONCURS CONSILIER CNIPT
    • CONVOCARE CONSILIUL LOCAL ORAS AZUGA IN SEDINTA EXTRAORDINARA DEINDATA VINERI, 06.03.2020, ORA 12,00
    • ANUNT COLECTIV
    • HCL nr. 16/26.02.2020 privind aprobarea Raportului de activitate al Comitetului Local pentru Situatii de urgenta oras Azuga pentru anul 2019
    • ANUNT COLECTIV
    • Rezultatele selectarii dosarelor de inscriere la examen recrutare INGRIJITOR in cadrul Compartimentului Deservire Generala
    • ANUNT IMPORTANT!
    • Dispozitia nr. 125/2020 convocare Consiliul Local oras Azuga in sedinta ordinara miercuri 25.03.2020 ora 13,00
    • Rezultate proba scrisa concurs ingrijitor
    • REZULTAT INTERVIU CONCURS INGRIJITOR
    • REZULTATE FINALE CONCURS INGRIJITOR
    • ANUNT COLECTIV
    • ANUNT COLECTIV
    • Convocare Consiliul Local oras Azuga in sedinta extraordinara convocata deindata joi, 02.04.2020, ora 12,00
    • ANUNT COLECTIV
    • Anunt public privind depunerea solicitarii de emitere a acordului de mediu, Oras Azuga, prin Primaria orasului Auzga
    • Anunt colectiv
    • Anunt colectiv
    • Anunt colectiv
    • Anunt
    • DISPOZITIA nr. 147/27.04.2020 Convocare Consiliul Local oras Azuga in sedinta extraordinara convocata deindata luni 27.04.2020 ora 12
    • Convocare Consiliul Local oras Azuga in sedinta ordinara, miercuri 29.04.2020 ora 13,00
    • Anunt public privind decizia etapei de incadrare UAT oras Azuga
    • Anunt licitatie vanzare terenuri
    • Convocare Consiliul Local al orasului Azuga in sedinta ordinara marti, 26.05.2020, ora 14,00
    • Anunt colectiv
    • ANUNT INDIVIDUAL
    • Anunt licitatie lemn de foc
    • ANUNT INDIVIDUAL
    • Anunt concurs promovare grad
    • CONVOCARE SEDINTA ORDINARA CONSILIUL LOCAL AZUGA
    • ANUNT CONCURS PROMOVARE GRAD
    • ANUNT LICITATIE VANZARE
    • ANUNT LICITATIE VANZARE
    • Rezultate selectie dosare examen promovare in grad
    • ANUNT licitatie inchiriere terenuri domeniu privat Oras Azuga
    • Convocare sedinta ordinara Consiliul Local Azuga in data de 31.o7.2020, ora 12,00
    • Anunt LICITATIE LEMN FOC
    • Convocare Consiliul Local in sedinta extraordinara 05.08.2020, ora 13,00
    • ANUNT BEC
    • Dispozitie privind stabilirea locurilor speciale de afisaj electoral, oras Azuga
    • HOTARARI ALE BIROULUI ELECTORAL DE CIRCUMSCRIPTIE NR. 3 AZUGA
    • Convocare Consiliul Local oras Azuga in sedinta extraordinara 09.09.2020 ora 15,30
    • Convocare Consiliul Local oras Azuga in sedinta extraordinara 11.09.2020 ora 12,30
    • Anunt colectiv pentru comunicare prin publicitate
    • CONVOCARE SEDINTA CONSILIUL LOCAL 24.09.2020
    • Completarea biroului electoral al sectiilor de votare cu reprezentantii partidelor politice, aliantelor politice, aliantelor electorale si organizatiilor cetatenilor apartinand minoritatilor nationale se va face in data de 24.09.2020 ora 10:00".
    • P.V. CONSTITUIRE COMISII BIROURI SECTII VOTARE
    • ANUNT LICITATIE LEMN FOC
    • ANUNT COLECTIV
    • HOTARAREA 74/07.11.2020 A COMITETULUI JUDETEAN PENTRU SITUATII DE URGENTA PRAHOVA
    • ANUNT DE INTENTIE privind elaborarea proiectului de hotarare cu caracter normativ privind aprobarea impozitelor si taxelor locale pentru anul fiscal 2021 ale orasului Azuga
    • Anunt oprire apa 11.11.2020
    • CONVOCAREA CONSILIULUI LOCAL IN SEDINTA EXTRAORDINARA, MARTI 17.11.2020
    • ANUNT dezbatere publica Regulament privind modul de dobandire si exploatare a parcarilor de domiciliu/resedinta aflate pe raza orasului Azuga
    • ANUNT DEPUNERE SOLICITARE EMITERE ACORD DE MEDIU ORASUL AZUGA, PRIN PRIMARIA ORASULUI AZUGA
    • Extras din " Programul de deszăpezire al Companiei Romprest Service S.A. pentru orașul Azuga 2020 - 2021"
    • Expunere motive, studiu impact, Regulament acord desfasurare activitate alimentatie publica, desfasurare activitati comerciale si servicii de piata, inchiriere sanii si activitati de agrement cu vehicule de teren, atv, snowmobile si alte mijloace de depla
    • Convocare Consiliul Local al orasului azuga in sedinta extraordinara convocata deindata miercuri 09.12.2020
    • Convocare Consiliul Local al orasului Azuga in sedinta ordinara marti 22.12.2020, ora 14,00
    • Dispozitia nr. 362/11.12.2020 privind desemnarea dnei Constantinescu Ligia pentru consilierea etica si monitorizarea respectarii normelor de conduita in cadrul Primariei orasului Azuga
    • Regulament parcari
    • Regulamente taxe speciale 2021
    • Raport informatii interes public 2020
    • Anunt organizare examen de promovare in gradul profesional superior celui detinut pentru functionarul public din cadrul Serviciului Economic- Biroul Venituri al Primariei orasului Azuga
    • Anunt licitatie vanzare terenuri 24.02.2021
    • ANUNT COLECTIV
    • ANUNT COLECTIV
    • ANUNT COLECTIV
    • Codul Etic, conform Dispoziției de Primar nr. 37 din 28 ianuarie 2021
    • Anunt colectiv
    • REZULTATELE SELECTARII DOSARELOR DE INSCRIERE la examenul de promovare in gradul profesional superior celui detinut pentru functionarul public din cadrul Serviciului Economic- Biroul Venituri al Primariei orasului Azuga
    • Anunt colectiv
    • Anunt colectiv
    • Rezultate proba scrisa examen promovare grad superior celui detinut pentru functionarul public din cadrul Serviciului Economic- Birou Venituri al Primariei or. Azuga
    • Rezultate interviu promovare grad superior celui detinut pentru functionarul public din cadrul Serviciului Economic- Birou Venituri al Primariei or. Azuga
    • Rezultate finale examen promovare grad profesional superior
    • ANUNT COLECTIV
    • Convocator ședință ordinară a Consiliului Local de vineri 26.02.2021
    • Anunt colectiv comunicare prin publicitate
    • Anunț Registrul Agricol - date de înscriere, termene - persoane fizice și juridice
    • Anunț de licitație vânzare 16.03.2021
    • Anunț de participare la licitație pentru închiriere terenuri aparținând domeniului privat al orașului Azuga 16.03.2021
    • Anunț colectiv pentru comunicare prin publicitate 18.03.2021
    • Dispoziție de Convocare deîndată a Consiliului Local, 24 Martie 2021
    • Anunț colectiv pentru comunicare prin publicitate 31.03.2021
    • Anunț colectiv pentru comunicarea prin publicitate 01.04.2021
    • Anunt colectiv pentru comunicarea prin publicitate 06.04.2021
    • Anunț de licitație vânzare 12.04.2021
    • Anunț colectiv pentru comunicare prin publicitate 13.04.2021
    • Ședință extraordinară a Consiliului Local, miercuri 21 aprilie 2021, de la ora 14:00
    • Recensământul General Agricol, 10mai-31iulie 2021
    • Ședința ordinară a Consiliului Local, joi 29 aprilie 2021, de la ora 13:00
    • Informare privitoare la înscrierea pentru echipele mobile de vaccinare! (termen 4 mai, ora 13:00)
    • Consultare Publică pentru PUG și RLU – Oraș Azuga - Etapa 1 (pregătitoare) – Anunțarea intenției de elaborare – Solicitare completare chestionare de anchetă socială - perioada 14.05.2021 - 13.06.2021
    • Ședința Extraordinară a Consiliului Local al orașului Azuga este convocată pentru luni, 17 mai 2021, de la ora 13:00!
    • Ședința ordinară a Consiliului Local al orașului Azuga este convocată pentru luni, 31 mai, de la ora 14:00
    • Anunț de licitație terenuri, pentru data de 8 iulie 2021, termen limită 7 iulie 2021
    • Concurs promovare funcția publică de conducere, vacantă de șef birou, clasa I, gradul II în cadrul Biroului Venituri din Serviciul Economic al aparatului de specialitate al Primarului orașului Azuga
    • Concurs de recrutare ocupare funcție publică de execuție de consilier clasa I, grad profesional debutant în cadrul compartimentului urbanism și disciplina în construcții din Serviciul dezvoltare urbana al aparatului de specialitate al Primarului o
    • Concurs de recrutare ocupare funcție publică de execuție de consilier clasa I, grad profesional superior în cadrul compartimentului tehnic, investiții, achiziții publice, managementul proiectelor si protecția mediului din Serviciul dezvoltare urban
    • Decizia etapei inițiale pentru proiectul "Realizare pasaj rutier la intersecția DN1 cu strada Prahovei", obținută de la APM Prahova
    • Rezultate selecție dosare inscriere concurs consilier superior investiții
    • Rezultate selecție dosare inscriere concurs consilier debutant urbanism
    • Rezultat selecție dosar de înscriere Șef birou Venituri
    • Rezultatul probei scrise la concursul de promovare pentru Șef Birou Venituri
    • Anunț de modificare a datei interviului pentru concursul de promovare Șef Birou Venituri
    • Plan de interviu pentru concursul de promovare Șef Birou Venituri
    • Rezultatul interviului pentru concursul de promovare Șef Birou Venituri
    • Rezultatul final al concursului de promovare pentru Șef Birou Venituri
    • Anunt colectiv pentru comunicarea prin publicitate 23.07.2021
    • Anunt licitatie vânzare terenuri, 25.08.2021 ora 10,00
    • Anunt organizare examen promovare grad profesional superior funcționar public din cadrul Serviciului Economic - Biroul Venituri
    • Rezultatele selectării dosarelor de înscriere la examenul în vederea promovării în gradul profesional superior celui deținut pentru funcționarul public din cadrul Serviciului Economic - Biroul Venituri, organizat în data de 23 septembrie 2021
    • Anunț Facilitate Fiscală septembrie 2021_31 ianuarie 2022
    • Rezultate obținute la PROBA SCRISA la examenul de promovare în gradul profesional superior celui deținut pentru funcționarul public din cadrul Serviciului Economic- Biroul Venituri
    • Hotărârea nr. 1 a Comitetului Local pentru Situații de Urgență și Anexa 1
    • Anunt reprogramare interviu examen promovare grad profesional superior celui detinut pentru functionarul public din cadrul Serviciului Economic- Biroul Venituri
    • Plan de Interviu la examenul de promovare în gradul profesional superior celui detinut pentru functionarul public din cadrul Serviciului Economic- Biroul Venituri al aparatului de specialitate al Primarului orașului Azuga
    • Rezultate obținute la interviul la examenul de promovare în gradul profesional superior celui detinut pentru functionarul public din cadrul Serviciului Economic- Biroul Venituri al aparatului de specialitate al Primarului orașului Azuga
    • Hotărârea nr. 2 a Comitetului Local pentru Situații de Urgență și Anexa 1
    • Rezultate finale examen promovare în gradul profesional superior celui detinut pentru funcționarul public din cadrul Serviciului Economic- Biroul Venituri al aparatului de specialitate al Primarului orașului Azuga
    • Hotărârea nr. 3 a Comitetului Local pentru Situații de Urgență și Anexa 1
    • Comunicat suspendare temporară a acordării audiențelor Avocatului Poporului Prahova la sediu și in teritoriu
    • ANUNT
    • Invitatie participare servicii medicina muncii
    • Anunt procedura desemnare consilier etic
    • Anunt licitatie vânzare terenuri 08.12.2021, ora 10.00
    • Anunt organizare concurs recrutare consilier Compartiment Servicii Sociale
    • Dezbatere publică realizare proiect "Pasaj rutier la intersecția DN1 cu str. Prahovei - Oraș Azuga"
    • Anunt organizare licitatie vanzare lemne foc, data de 07.02.2022 ora 10,00
    • Primăria informează despre obligația de înregistrare în Registrul Agricol!
    • Încheiere dezbatere publică proiect "Pasaj rutier la intersecția DN1 cu str. Prahovei - Oraș Azuga"
    • Anunt colectiv
    • Anunt colectiv
    • Comunicat privind reluarea audiențelor Avocatului Poporului Prahova la sediul Biroului Teritorial Ploiești
    • Cum să te autorecenzezi - informații și descrierea procesului de autorecenzare online.
    • Campania de Curățenie 2022
    • Anunț licitație vânzare terenuri pentru data de 8 iunie 2022
    • Anunț licitație închiriere teren pentru data de 8 iunie 2022
    • Anunt organizare concurs recrutare consilier clasa I, grad profesional superior, Compartiment Venituri
    • Anunț de participare programe de interes național pentru dezvoltarea serviciilor sociale pentru persoanele vârstnice aprobate prin H.G. nr. 435/2022
    • Paza bună trece primejdia rea! Măsuri pentru vremea caniculară.
    • AzugaPentruSport_Campanie adresată Seniorilor
    • Măsuri principale de apărare împotriva incendiilor pe perioadele caniculare pentru prevenirea incendiilor de vegetație uscată/pădure
    • APEL TAXI DE NOAPTE (m) 0728 95 93 46, de la 23:00 la 6:00
    • Anunț public privind depunerea solicitării de emitere a acordului de mediu pentru proiectul "REABILITARE ȘI MODERNIZARE STRĂZI ÎN ORAȘUL AZUGA"
    • Program pregătire profesională - ”Șansa pentru tinerii din regiunile Sud-Est și Sud, Muntenia”
    • Anunt licitatie publica vanzare terenuri 06.10.2022, ora 10,00
    • I.S.U. Prahova ne informează!
    • Studiu pe proiect în cadrul Parteneriatului pentru Dezvoltare Locală - chestionar privind nivelul de utilizare a instrumentelor digitale puse la dispozția cetățenilor din jud. Prahova
    • Anunț licitație închiriere teren, pentru data de 27.10.2022, ora 10,00
    • Consultare Publică pentru PUZ–UTR 9 – Oraș Azuga - Etapa 2 – Documentare și elaborare studii de fundamentare – Propuneri preliminare - 10.10.2022 – 30.11.2022
    • Anunt public privind decizia etapei de incadrare ,, Reabilitare si modernizare strazi in orasul Azuga,,
    • Anunț public CNAIR - Realizare pasaj rutier la intersecția DN1 cu str. Prahovei - Oraș Azuga
    • Avizare de către SGA a Studiului de Fezabilitate pentru obiectivul "Modernizarea, reabilitarea şi extinderea traseului Azuga - Buşteni - Gura Vitioarei, prin Accesibilizarea golului alpin Munţii Baiului şi a drumurilor judeţene”
    • Consultare Publică pentru PUG și RLU – Oraș Azuga - Etapa 2 – Documentare/elaborare strategii sectoriale și studii de fundamentare – Propuneri preliminare – perioada 05.12.2022 – 09.01.2023
    • Măsuri de prevenire a incendiilor în sezonul rece
    • Avizare de către APM a Studiului de Fezabilitate pentru obiectivul "Modernizarea, reabilitarea şi extinderea traseului Azuga - Buşteni - Gura Vitioarei, prin Accesibilizarea golului alpin Munţii Baiului şi a drumurilor judeţene”
    • Consultarea populației – Etapa I – Intenție de elaborare “PUZ – Acces rutier complementar descarcării A3 Azuga – Bușteni”, 22.12.2022 – 06.01.2023
    • Proiect buget propriu al orasului Azuga pe anul 2023
    • Proiect PNRR C10-I1.1-89 "ACHIZIȚIE DE MIJLOACE DE TRANSPORT ÎN COMUN NEPOLUANTE ȘI STAȚII DE ÎNCĂRCARE"
    • Anunt privind Declaratia unica privind impozitul pe venit si contributiile sociale pentru perioada 2022-2023
    • Proiect PNRR C10-I1.2-243 "MODERNIZAREA INFRASTRUCTURII TIC ÎN ORAȘUL AZUGA"
    • Incepând cu data de 1 martie 2023, ora 10,00 se vor relua exercițiile de alarmare publică, denumite generic ,, MIERCUREA ALARMELOR,,
    • Etapa II - Consultarea populației privind propunerile preliminare “PUZ – Acces rutier complementar descarcării A3 Azuga – Bușteni”, 03.03.2023 – 14.03.2023
    • Avizare de către APM a planului "PUZ – Acces rutier complementar descarcarii A3 Azuga – Busteni"
    • DGASPC Prahova angajează asistenți personali profesioniști
    • Anunț privind invitația de participare la procedura competitiva organizata în vederea cesiunii creantelor bugetare
    • Anunt Decizia etapei de incadrare bloc ANL Ritivoiu 2Abis
    • Anunț privind invitația de participare la procedura competitiva organizata în vederea cesiunii creantelor bugetare
    • S.C. SINAIA SA, Hotel Sinaia****, angajează personal cu contract individual de muncă
    • Consultare Publică pentru PUZ–UTR 9 – Oraș Azuga - Etapa 3 – Propuneri ce vor fi supuse procesului de avizare - 30.06.2023 – 31.07.2023
    • Consultare Publică pentru PUG și RLU – Oraș Azuga - Etapa 3 – Propuneri ce vor fi supuse procesului de avizare – perioada 30.06.2023 – 31.07.2023
    • Regulament Rabla Local 2023
    • Consultare publică Plan anual Servicii Sociale 2023, luna august 2023
    • Anunt organizare concurs consilier superior investitii
    • Măsuri de prevenire a incendiilor în sezonul rece
    • Talon urcare-coborâre gratuită cu gondola, pe 31 octombrie!
    • Consultare Publică pentru PUZ–UTR 9 – Oraș Azuga - Etapa 1 (pregătitoare) – Anunțarea intenției de elaborare – perioada 01.10.2021 – 31.10.2021
    • Consultare Publică pentru PUZ - Acces rutier complementar descarcare A3 Azuga-Busteni - Etapa 3 -Propuneri ce vor fi supuse avizarii - perioada 06.11.2023 – 17.11.2023
    • Flota de TAXI a stațiunii Azuga - numere de telefon
    • DSP Prahova - Prevenirea Trichinelozei
    • DSP Prahova - RUJEOLA - Informare, Pliante
    • PNRR - Venitul Minim de Incluziune (VMI), din ianuarie 2024
    • Informare Publică pentru PUZ - Acces rutier complementar descarcare A3 Azuga-Bușteni - Etapa 4 - Elaborarea propunerii finale – Etapa aprobării - perioada 28.12.2023 - 13.02.2024
    • Consultare Publică pentru PUZ–UTR 9 – Oraș Azuga - Etapa 3 – Actualizare propuneri ce vor fi supuse procesului de avizare - 19.01.2024 – 19.02.2024
    • Consultare Publică pentru PUG și RLU – Oraș Azuga - Etapa 3 – Actualizari propuneri ce vor fi supuse procesului de avizare – perioada 19.01.2024 – 05.03.2024
    • Consultare Publică pentru ”ÎNTOCMIRE P.U.D. PENTRU CONSTRUIRE LOCUINȚĂ UNIFAMILIALĂ P+M” - ETAPA 1 (PREGĂTITOARE) - ANUNŢAREA INTENŢIEI DE ELABORARE PUD - Perioada de consultare publică: 14.03.2024 – 28.03.2024
    • Consultare Publică pentru PUZ - CONSTRUIRE HOTEL - Etapa 1 (pregătitoare) – Intenție de elaborare SC CHANDLER INTERNATIONAL SRL – perioada 26.03.2024 – 25.04.2024
    • BIROUL ELECTORAL de circumscripție AZUGA - INFORMĂRI, APRILIE 2024
    • Consultare Publică pentru PUZ - Etapa 2 (elaborarea propunerilor) – SC CHANDLER INTERNATIONAL SRL – perioada 26.04.2024 – 22.05.2024
    • BIROUL ELECTORAL de circumscripție AZUGA - INFORMĂRI, MAI 2024
    • Consultare Publică pentru PUZ UTR5 și parțial UTR3 - Construire și extindere intravilan UAT Azuga - Etapa 1 (pregătitoare) - Anunțarea intenției de elaborare, perioada 10.05.2024 – 07.06.2024
    • Anunț 1 – Declanșare Etapa de Încadrare în vederea emiterii deciziei pentru avizare de către Agenția pentru Protecția Mediului Prahova, pentru PUZ-UTR9
    • Informare referitoare la solicitarea Avizului de Gospodărire a Apelor emis de A.B.A. Buzău-Ialomița - SGA Prahova, pentru PUZ-UTR9
    • Anunț 2 – Declanșare Etapa de Încadrare în vederea emiterii deciziei pentru avizare de către Agenția pentru Protecția Mediului Prahova, pentru PUZ-UTR9
    • BIROUL ELECTORAL de circumscripție AZUGA - INFORMĂRI, IUNIE 2024
    • Anunț public privind Decizia Etapei de Încadrare în vederea emiterii avizului Agenției pentru Protecția Mediului Prahova pentru PUZ – UTR9 – Oraș Azuga
    • Informare Publică pentru PUZ - Etapa 3 (elaborarea propunerii finale - etapa aprobării) – SC CHANDLER INTERNATIONAL SRL – perioada 03.07.2024 – 13.08.2024
    • Consultare Publică pentru PUZ-UTR5 - Etapa 1 (pregătitoare) – Anunțarea intenției de elaborare SC BETACONS COMPANY SRL – perioada 05.07.2024 – 29.07.2024
    • Proiect de Hotărâre - Inițiativă Cetățenească pentru anularea HCL 36/2022
    • ISU ne informează - Măsuri de prevenire în caz de caniculă
    • Anunț 1 – Declanșare Etapa de Încadrare în vederea emiterii deciziei pentru avizare de către APM Prahova pentru ”Actualizare PUG și RLU – Oraș Azuga”
    • Anunț 2 – Declanșare Etapa de Încadrare în vederea emiterii deciziei pentru avizare de către APM Prahova pentru ”Actualizare PUG și RLU – Oraș Azuga”
    • Informare în privința solicitării avizului Sistemului de Gospodărire a Apelor Prahova pentru ”Actualizare PUG și RLU – Oraș Azuga”
    • Consultare Publică pentru PUZ-UTR5 - Etapa 2 (elaborarea propunerilor) – SC BETACONS COMPANY SRL – perioada: 11.09.2024 – 07.10.2024
    • Consultare Publică pentru PUZ – Etapa 1 (pregătitoare) – Anunțarea intenției de elaborare – Coman Mădălina-Elena - perioada: 11.09.2024 – 05.10.2024
    • Consultare Publică pentru PUZ – Etapa 1 (pregătitoare) – Anunțarea intenției de elaborare – SC AZUGA TURISM SA - perioada: 12.09.2024 – 06.10.2024
    • Alegeri 2024 - Președintele României
    • Campania Națională de Protecția Mediului “InfoCons – Fii Un Exemplu”
    • Anunt
    • Anunt public privind dezbaterea publica - Casa Regala
    • Asociația GAL Dealurile Sultanului - Întâlnire 11.03.2025 ora 10,00, sediul Primăriei Orașului Azuga
    • CAMPANIE DE PRIMĂVARĂ DE SALUBRIZARE A ORAŞULUI - ”ÎMPREUNĂ MENȚINEM AZUGA CURATĂ!”
    • DEER SA, Muntenia Nord, Regionala Ploiesti - Anunț public privind decizia etapei de încadrare de catre ANMAP
    • TICHETE DE ENERGIE 2025-2026
    • Anunt organizare concurs asistent medical scoala
    • Hotărârea nr. 88/26.09.2025 privind aprobarea declanșării procedurii de expropriere a terenului în suprafață de 406 mp situat în str. Independenței, nr. 59, aflat in proprietatea S.C. Sinter Ref S.A. - pentru realizare Acces rutier Centru Cultur
    • Anunt disponibilitate colaborare cu medic primar voluntar in cadrul Compartimentului Asistenta medicala Scoala Primara
    • Anunt depunere solicitare obtinere revizuire autorizatie de mdiu - S.C. Comprest S.A.
    • Decizie de expropriere nr. 1/14.11.2025
    • Dispoziție Nr. 249 din 17.11.2025 comisie ACCES RUTIER CENTRU CULTURAL, Oraș Azuga
    • Anunț de participare la licitația pentru închirierea unui spațiu comercial aparținând domeniului privat al orașului Azuga.
    • HCL nr. 133/2025 privind aprobarea impozitelor, taxelor locale si taxelor speciale, pentru anul 2026
    • Hotararea nr. 1 din 20.01.2026 privind Stabilirea cuantumului despagubirii in cadrul procedurii de expropriere in conformitate cu prevederile legale
    • Avocatul Poporului - Bilantul activitatii pe anul 2025
    • Anunt vanzare bunuri imobile 2026
  • Ghid pentru accesul publicului la informații de mediu
    • Ghidul autorităților publice pentru accesul publicului la informația de mediu

Știri recente:

  • Apr 15

    Anunt vanzare bunuri imobile 2026

  • Jan 20

    Hotararea nr. 1 din 20.01.2026 privind Stabilirea cuantumului despagubirii in cadrul procedurii de expropriere in conformitate cu prevederile legale

  • Jan 20

    Avocatul Poporului - Bilantul activitatii pe anul 2025

  • Dec 22

    HCL nr. 133/2025 privind aprobarea impozitelor, taxelor locale si taxelor speciale, pentru anul 2026

  • Nov 21

    Anunț de participare la licitația pentru închirierea unui spațiu comercial aparținând domeniului privat al orașului Azuga.

Vezi toate știrile


Informații Utile

Adresa: Azuga, Str. Independentei, Nr. 10A, județul Prahova
Email: contact@primariaazuga.ro
Telefon: 0244.326.300
Fax: 0244.326.330
Cod poștal: 105100

Vizitatori: 1752542

ecomune
  • Acasă
  • Proiecte de Investiții
  • Consiliul local
  • Buget
  • Sala de sport
  • Monitorul Oficial Local
  • Informații utile

Primăria Azuga | județul Prahova | Dezvoltat de iStorm.ro