Primăria Unguraş,
județul Cluj

Harta
  • Acasă
  • Știri / Anunțuri
  • Galerie Foto
  • Galerie video
  • Contact
  • Monitorul Oficial Local
  • Primăria
    • VANZARI TERENURI 2026
    • Structura
    • Program cu publicul
    • Urbanism
    • Starea civilă
    • Acte și formulare
    • Taxe și impozite
    • Asistență socială
    • Vânzări terenuri
  • Consiliul local
    • Consiliul local
  • Despre localitate
    • Informații generale
    • Sate
    • Vizitatori website
    • Istorie
    • Patrimoniu
    • Cultură
    • Biserici
    • Media
    • Educație
    • Transport
    • Sport
    • Adrese utile
    • Informații europene
    • Personalități locale
  • Turism
    • Informații turistice
    • Obiective
    • Cazare
  • Economie
    • Informații economice
    • Firme
    • Proiecte, investiții
    • Târguri și expoziții
    • Organizații
    • Sponsori / parteneri
    • Agricultură / Fond funciar/ Registru agricol
  • SVSU
    • Serviciul voluntar pentru situații de urgență
  • CAMC
    • Centrul de asistență medicală comunitară
  • RDPL
    • Registrul datoriei publice locale
  • SPCLEP
  • Politica de confidențialitate
  • Transparență decizională
    • Proiecte de acte normative aflate în consultare publică
    • Formular pentru colectarea de propuneri, opinii, recomandări (cf. Legii nr. 52/2003)
    • Registrul pentru consemnare și analizarea propunerilor, opiniilor sau recomandărilor
    • Proiecte de acte normative adoptate
    • VENITURILE SALARIALE ALE PERSONALULUI
    • Raport periodic Legea nr. 52/2003
    • RUTI
    • Dezbateri publice
    • Consultări interministeriale
    • Proiecte de acte normative pentru care nu mai pot fi trimise sugestii
    • Ședințe publice / Anunțuri / Minute
    • Rapoarte de aplicare a Legii nr. 52/2003
    • Numele și prenumele persoanei desemnate responsabilă pentru relația cu societatea civilă
    • Registrul asociațiilor, fundațiilor și federațiilor luate în evidență de instituție
  • Informații de interes public
    • Solicitare informații. Legislație
    • Buletinul Informativ (Legea 544/2001)
    • Buget din toate sursele de venituri
    • Bilanțuri contabile
    • Achiziții publice
    • Formulare tip (cu menționarea timpului necesar completării)
    • Info int publ încărcate până în dec 2021
    • Declarații de avere si interese
    • Comisia paritară
    • Protecția datelor cu caracter personal
  • Despre instituţie
    • Legislație (organizarea și funcționarea instituției)
    • Conducere
    • Organizare
    • Programe și strategii
    • Rapoarte și studii
  • Integritate instituţională
    • Lista cadourilor primite
    • Declarația privind asumarea unei agende de integritate organizațională
    • Cod etic/deontologic/de conduită
    • Mecanismul de raportare a încălcărilor legii
    • Planul de integritate al instituţiei
    • Raport narativ referitor la stadiul implementării măsurilor prevăzute în SNA, planul de integritate
    • Situaţia incidentelor de integritate
    • Studii/cercetări/ghiduri/materiale informative relevante
  • Ghid pentru accesul publicului la informații de mediu
    • Ghidul autorităților publice pentru accesul publicului la informația de mediu
Harta

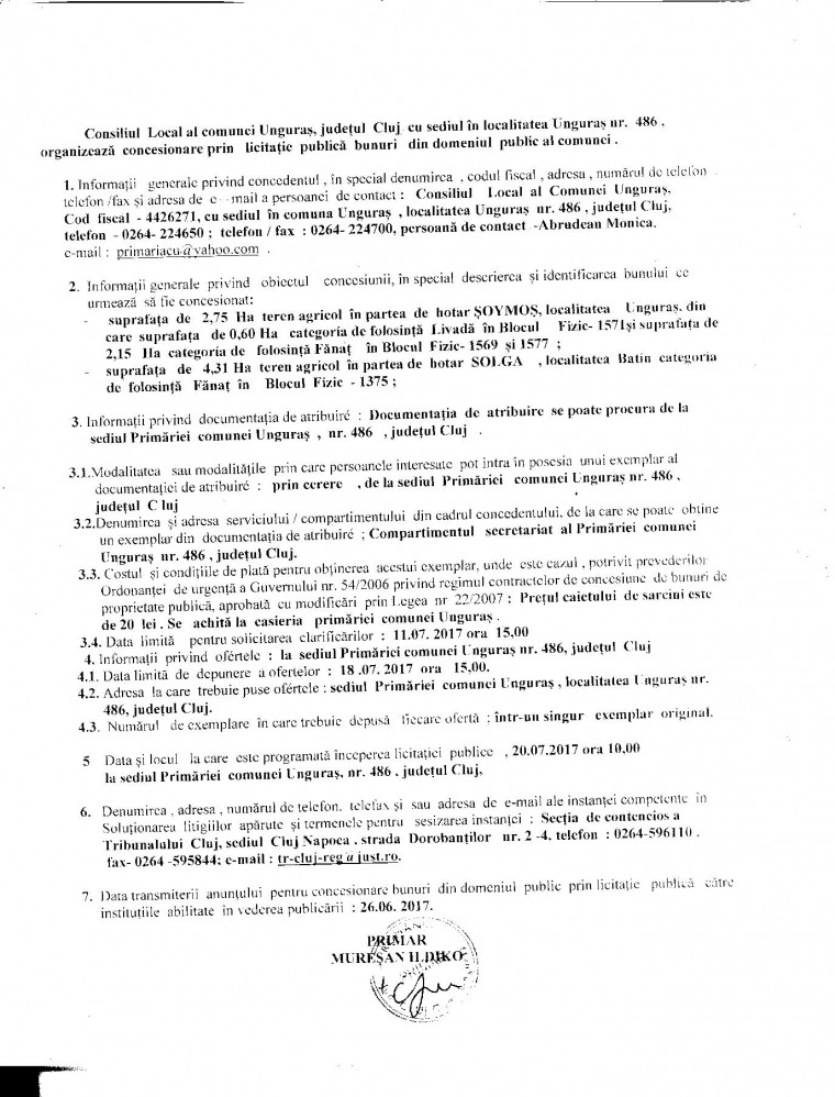
ANUNT CONCESIONARE TEREN AGRICOL

  • ANUNT CONCESIONARE TEREN AGRICOL

  • Primăria
    • VANZARI TERENURI 2026
    • Structura
    • Program cu publicul
    • Urbanism
    • Starea civilă
    • Acte și formulare
    • Taxe și impozite
    • Asistență socială
    • Vânzări terenuri
  • Consiliul local
    • Consiliul local
  • Despre localitate
    • Informații generale
    • Sate
    • Vizitatori website
    • Istorie
    • Patrimoniu
    • Cultură
    • Biserici
    • Media
    • Educație
    • Transport
    • Sport
    • Adrese utile
    • Informații europene
    • Personalități locale
  • Turism
    • Informații turistice
    • Obiective
    • Cazare
  • Economie
    • Informații economice
    • Firme
    • Proiecte, investiții
    • Târguri și expoziții
    • Organizații
    • Sponsori / parteneri
    • Agricultură / Fond funciar/ Registru agricol
  • SVSU
    • Serviciul voluntar pentru situații de urgență
  • CAMC
    • Centrul de asistență medicală comunitară
  • RDPL
    • Registrul datoriei publice locale
  • SPCLEP
  • Politica de confidențialitate
  • Transparență decizională
    • Proiecte de acte normative aflate în consultare publică
    • Formular pentru colectarea de propuneri, opinii, recomandări (cf. Legii nr. 52/2003)
    • Registrul pentru consemnare și analizarea propunerilor, opiniilor sau recomandărilor
    • Proiecte de acte normative adoptate
    • VENITURILE SALARIALE ALE PERSONALULUI
    • Raport periodic Legea nr. 52/2003
    • RUTI
    • Dezbateri publice
    • Consultări interministeriale
    • Proiecte de acte normative pentru care nu mai pot fi trimise sugestii
    • Ședințe publice / Anunțuri / Minute
    • Rapoarte de aplicare a Legii nr. 52/2003
    • Numele și prenumele persoanei desemnate responsabilă pentru relația cu societatea civilă
    • Registrul asociațiilor, fundațiilor și federațiilor luate în evidență de instituție
  • Informații de interes public
    • Solicitare informații. Legislație
    • Buletinul Informativ (Legea 544/2001)
    • Buget din toate sursele de venituri
    • Bilanțuri contabile
    • Achiziții publice
    • Formulare tip (cu menționarea timpului necesar completării)
    • Info int publ încărcate până în dec 2021
    • Declarații de avere si interese
    • Comisia paritară
    • Protecția datelor cu caracter personal
  • Despre instituţie
    • Legislație (organizarea și funcționarea instituției)
    • Conducere
    • Organizare
    • Programe și strategii
    • Rapoarte și studii
  • Integritate instituţională
    • Lista cadourilor primite
    • Declarația privind asumarea unei agende de integritate organizațională
    • Cod etic/deontologic/de conduită
    • Mecanismul de raportare a încălcărilor legii
    • Planul de integritate al instituţiei
    • Raport narativ referitor la stadiul implementării măsurilor prevăzute în SNA, planul de integritate
    • Situaţia incidentelor de integritate
    • Studii/cercetări/ghiduri/materiale informative relevante
  • Ghid pentru accesul publicului la informații de mediu
    • Ghidul autorităților publice pentru accesul publicului la informația de mediu

Știri recente:

  • Apr 10

    PROIECT BUGET PE ANUL 2026

  • Mar 5

    ANUNT PRIVIND INCHIRIEREA PRIN ATRIBUIRE DIRECTĂ A TERENURILOR AGRICOLE DISPONIBILE DIN DOMENIUL PRIVAT AL COMUNEI AVĂND CATEGORIA DE FOLOSINȚĂ PĂȘUNE

  • Jan 16

    Aprobare implementare proiect ,,Achizitionarea de statii de autobuz pentru imbunatatirea infrastructurii de transport public in comuna Unguras jud.Cluj ,,

  • Dec 5

    ANUNT MASURI AUXILIARE SPRIJIN PENTRU PERSOANELE DEFAVORIZATE IN VEDEREA ASIGURARII ALIMENTELOR DE BAZA /MESE CALDE

  • Oct 20

    ANUNŢ Privind Scoaterea la Licitatie Publică în Vederea Închirierii a Spaţiului in suprafaţă de 52 mp cu destinatie Farmacie Umană

Vezi toate știrile


Informații Utile

Adresa: str Principala nr. 486
Email: primariacu@yahoo.com
Telefon: 0264-224.650
Fax: 0264-224.700
Cod poștal: 407570

Vizitatori: 983821

  • Acasă
  • Știri / Anunțuri
  • Galerie Foto
  • Galerie video
  • Contact
  • Monitorul Oficial Local

Primăria Unguraş | județul Cluj | Dezvoltat de iStorm.ro